
Jang Hyun Kim, Hye In Kang, Min Seo Park, Kyung Hoon Min, Jae Eun Lee*, and Sang Eun Shim† 
Department of Chemistry and Chemical Engineering, Education and Research Center for Smart Energy Materials and Process, Inha University, Incheon 22212, Korea
*Korea Automotive Technology Institute, 303 Pungse-ro, Pungse-myeon, Dongnam-gu, Cheonan-si, 31214, Korea
인하대학교 화학·화학공학융합학과 스마트 에너지 소재 및 공정 교육연구단, *한국자동차연구원
Reproduction, stored in a retrieval system, or transmitted in any form of any part of this publication is permitted only by written permission from the Polymer Society of Korea.
This study investigates the photodegradation behavior of virgin and recycled polycarbonate (PC) under identical accelerated weathering conditions. To evaluate degradation trends under light exposure, Fourier transform infrared spectroscopy (FTIR), UV-vis spectroscopy, colorimetry, X-ray diffraction (XRD), thermogravimetric analysis (TGA), universal testing machine (UTM), optical microscopy (OM) were employed to examine changes in chemical structure, optical properties, thermal stability, mechanical performance, and surface morphology. Recycled PC exhibited faster degradation than virgin PC, showing greater photo-oxidation, more pronounced discoloration, and larger losses in crystallinity and thermal stability. These results indicate that structural damage accumulated during previous use and processing accelerates photodegradation under light exposure. The findings highlight the vulnerability of recycled PC and the need for effective stabilization strategies in light-exposed environments.
본 연구는 동일한 가속 내후화 조건에서 신재 및 재활용 폴리카보네이트(PC)의 광노화 거동을 비교·분석하였다. 광노출에 따른 열화 경향을 평가하기 위해 푸리에 변환 적외선 분광법(FTIR), 자외선-가시광선 분광법, 색도분석, X-선 회절 분석(XRD), 열중량 분석(TGA), 만능재료시험기(UTM), 광학현미경(OM)을 활용하여 화학 구조, 광학적 특성, 열안정성, 기계적 성능, 표면 형상의 변화를 조사하였다. 재활용 PC는 신재보다 더 빠른 열화를 보였으며, 보다 뚜렷한 광산화, 두드러진 변색(황변), 그리고 결정성 및 열안정성의 큰 저하가 관찰되었다. 이러한 결과는 이전 사용 및 재가공 과정에서 축적된 구조적 손상이 광노출 하에서의 광노화를 가속함을 시사한다. 본 연구는 재활용 PC의 광노출 환경에서의 취약성을 부각하며, 효과적인 안정화 전략의 필요성을 강조한다.
The photodegradation behaviors of virgin and recycled polycarbonate (PC) were systematically compared under identical artificial weathering conditions. Recycled PC exhibited more severe discoloration, photo-oxidation, and thermal degradation due to pre-existing defects from previous processing. This study provides insight into the degradation pathways of recycled PC, supporting its evaluation for use in light-exposed environments.

Keywords: polycarbonate, polymer, photodegradation, recycled polymers, accelerated aging
This work was supported by the Ministry of Trade, Industry and Energy (MOTIE, Republic of Korea) and the Korea Evaluation Institute of Industrial Technology (KEIT) (NO. RS-2024-00421057)
The authors declare that there is no conflict of interest.
Additional figures and data related to the photodegradation behavior of virgin and recycled PC samples are provided in the Supporting Information. The materials are available via the Internet at http://journal.polymer-korea.or.kr.
PK_2026_050_02_303_Supporting_Information.pdf (485 kb)
Supplementary Information
Polycarbonate (PC) is a widely used engineering thermoplastic valued for its high mechanical strength, transparency, and thermal stability.1 Its applications span numerous industries, including automotive components, electronic housings, optical lenses, and construction materials.2,3 According to recent market data, global PC production exceeds 5.5 million tons annually and is expected to reach approximately 7.2 million tons by 2030, driven by growing demand in applications requiring durability and optical clarity.4,5 In terms of market value, the global PC industry was valued at USD 22.6 billion in 2022, highlighting its industrial significance.6 The combination of high performance and processability has made PC one of the most commercially important polymers. In parallel with this widespread usage, environmental concerns surrounding plastic waste and resource sustainability have drawn growing attention to the full lifecycle of PC materials. This has prompted the plastics industry to pursue more sustainable practices, especially through recycling and circular material reuse initiatives.7-10
However, these sustainability efforts are challenged by the fact that PC is inherently vulnerable to environmental degradation, especially under UV exposure.11 While PC offers durability and transparency, it is susceptible to photodegradation when exposed to ultraviolet (UV) and visible light, resulting in discoloration, loss of mechanical integrity, and shortened service life.11,12 Numerous studies have shown that UV radiation causes chain scission and oxidation in PC, generating chromophoric byproducts such as carbonyls and phenols that contribute to yellowing and optical deterioration.11-14 These processes are further accelerated by environmental factors such as heat, humidity, and oxygen.15 These degradation paths are particularly important in recycled PC because earlier light exposure and reprocessing can leave flaws.14,16
In recent years, global interest in plastic recycling has grown significantly, including efforts focused on engineering thermoplastics like PC. Despite this, less than 10% of the 400 million tons of plastic produced annually is made from recycled material, and approximately 79% of all plastic waste ends up in landfills or the environment.4,17 Although data on PC-specific disposal are scarce, its extensive use across industries suggests that it represents a non-negligible share of total plastic waste. As environmental regulations tighten and the demand for sustainable materials increases, the use of recycled PC is expected to grow. However, the recycling process typically involves high-temperature extrusion, mechanical stress, and exposure to ambient conditions, all of which can introduce chemical and structural defects that reduce long-term durability.16,18 Despite this trend, few studies have systematically compared the photodegradation behaviors of virgin and recycled PC under controlled light exposure. Most existing work focuses on mechanical performance or processability of recycled PC blends, offering limited insight into how degradation mechanisms are influenced by prior material history. This lack of comparative data complicates performance prediction for recycled PC in applications where UV stability is essential.
To fill this knowledge gap, this study aims to directly compare the photodegradation behavior of virgin and recycled PC under identical accelerated aging conditions. Multiple characterization techniques were employed, including Fourier-transform infrared spectroscopy (FTIR), ultraviolet-visible (UV-Vis) spectroscopy, colorimetry, X-ray diffraction (XRD), thermogravimetric analysis (TGA), universal testing machine (UTM), and optical microscopy (OM), to evaluate structural, optical, thermal, mechanical, and morphological changes. This study offers a direct evaluation of how prior material history influences the photodegradation behavior of recycled PC under identical weathering conditions. The results demonstrate that recycled samples degrade more rapidly than virgin PC due to structural damage accumulated during earlier use and processing. These findings help clarify the extent and nature of performance loss in recycled PC and support more informed decisions regarding its use in light- exposed environments.
Materials. Virgin PC samples were produced by Kyungdong Polyum (Korea) and were labeled 3020PJ, 3022PJ, and 3030PJ. The recycled PC samples were supplied by Shinwon Platec (Korea) and were named SW-15, SW-30, and SW-60.
Aging Methods. A Q-SUN Xe-3 xenon arc test chamber (Q-Lab Corporation, USA) was used for weathering tests. The experiments were conducted with an intensity of 0.55W/m2 and a wavelength of 365 nm. The total exposure duration was 1104 hours.
Characterization. To investigate chemical structural changes during aging, FTIR (PerkinElmer, USA) was used in ATR mode with 16 scans over a wavenumber range of 600-4000 cm-
1. UV-Vis spectroscopy (Lambda 750, PerkinElmer, USA) was employed to monitor changes in optical properties, with absorbance spectra measured in the 300-800 nm range. Discoloration of the samples was evaluated by measuring the yellowing index (YI) using a colorimeter (ColorMate, Scinco, Korea). Five repeated measurements were taken at the same location on each sample, and the average value was used. XRD analysis (SmartLab SE, Rigaku, Japan) was conducted to examine the crystallinity and phase composition of the samples, using a θ-2θ scan mode from 10° to 90° (2θ) with a step size of 0.02° and scan speed of 3°/min. TGA (TGA 4000, PerkinElmer, USA) was used to evaluate thermal stability by heating samples from 50 ℃ to 800 ℃ at a rate of 10 ℃/min under a nitrogen flow of 20 mL/min. Tensile testing was carried out to assess the mechanical degradation using a UTM (DUT-1TCM, DAE KYUNG, Korea) at a crosshead speed of 50 mm/min. Surface morphology and degradation features were analyzed using OM (DM2700M, Leica Microsystems, Germany) in bright-field mode, allowing visual identification of surface defects such as scratches and discoloration before and after weathering.
FTIR Analysis. The chemical structural changes of virgin and recycled PC samples were examined using Fourier-transform infrared (FTIR) spectroscopy. Although the overall absorbance spectra measured in the range of 600-4000 cm-1 showed no significant differences over the aging period (Figure S1), a more detailed comparison was made by normalizing degradation-sensitive peaks to a reference peak. As shown in Figure 1(a)-(b), the absorbance intensities at 1630 cm-1, corresponding to aromatic C=C stretching associated with photo-Fries rearrangement products, and at 1714 cm-1, assigned to C=O stretching vibrations indicative of photo-oxidation and the formation of carbonyl-containing degradation products, were normalized using the 1013 cm-1 peak.12,19 The 1013 cm-1 band, attributed to C-O stretching in the carbonate linkage, is typically unaffected by photo-induced degradation and is frequently used as an internal standard for normalization in FTIR studies on PC.20,21
Using this approach, the recycled samples exhibited more pronounced increases in normalized absorbance at both degradation-related peaks compared to the virgin samples, suggesting that recycled PC underwent faster and more severe chemical transformation under identical aging conditions. In both virgin and recycled PC samples, the normalized intensities at 1630 cm-1 and 1714 cm-1 increased over the aging period, indicating the progression of both photo-Fries rearrangement and photo-oxidation.22 However, the increase at 1714 cm-1 which is associated with photo-oxidation was notably greater in both materials. This suggests that photo-oxidation was the dominant degradation pathway under the applied conditions. This trend is consistent with the irradiation spectrum of the Q-SUN Xe-3 chamber, which emits light centered around 365 nm, a wavelength range that efficiently promotes photo-oxidation.12
While both 1630 cm-1 and 1714 cm-1 peaks increased over time in virgin and recycled PC, the recycled samples exhibited a larger increase in the 1714 cm-1 absorbance between 720 and 1104 h. This period also showed a noticeable rise in the 1630 cm-1 peak, particularly in recycled PC, where the magnitude of change exceeded that observed in virgin PC. This parallel increase shows that in recycled PC, the formation of photo-Fries rearrangement products has contributed to accelerating subsequent photo-oxidation. The trend implies a sequential or interrelated degradation pathway, where radicals or intermediates generated during the rearrangement process participate in or facilitate the oxidation reaction.12,19 In contrast, the more moderate changes in virgin PC support the idea that these reactions occur more independently in materials without prior exposure-related defects.
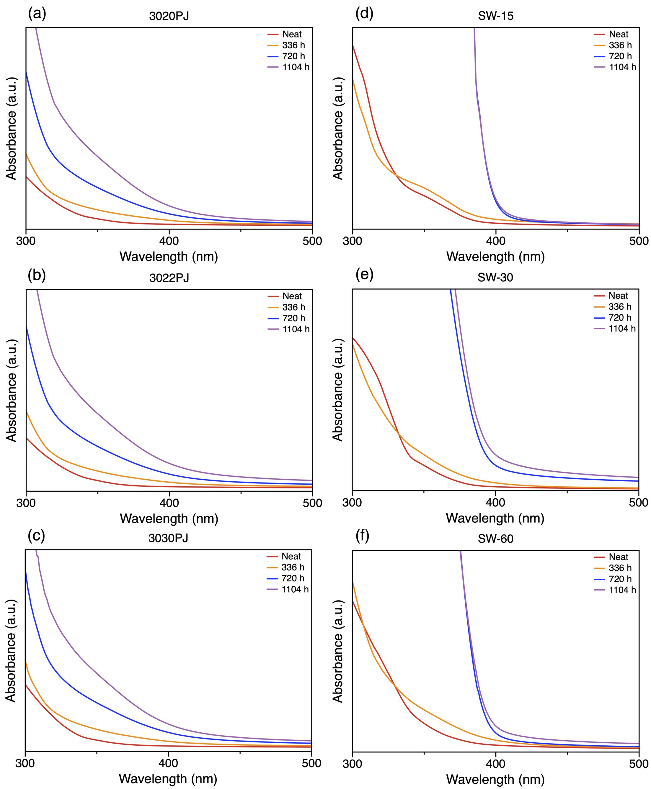
UV-Vis Spectroscopy. UV-Vis spectroscopy was used to monitor changes in optical properties associated with photodegradation. Both virgin and recycled PC samples exhibited increased absorbance over time, particularly in the UV region (<400 nm), which is typically linked to the accumulation of chromophoric degradation products such as conjugated carbonyls, phenolic compounds, and aromatic ring structures.1,11,12 As shown in Figure 2(a)–2(f), the recycled samples demonstrated noticeably higher initial absorbance and more substantial increases throughout the aging period compared to virgin samples. This elevated absorbance at early stages indicates the presence of pre-existing chromophores and structural defects, introduced during the previous use and thermal-mechanical stresses of the recycling processes.12,16,23
A prominent absorbance peak near 320 nm was observed in the recycled samples even at 0 h, consistent with the presence of photo-Fries rearrangement products. This peak gradually diminished over time, indicating transformation or conversion of these intermediates into secondary degradation products. Additionally, after 408 h, both virgin and recycled samples showed a marked increase in overall absorbance, with a notably sharper rise between 720 and 1104 hours in the recycled group. This trend closely mirrors the FTIR findings, particularly the accelerated increase in carbonyl absorbance at 1714 cm-1, indicating that optical and chemical degradation processes are closely linked and proceed more aggressively in recycled PC under identical light exposure. The early presence and disappearance of the 320 nm peak in recycled PC shows that photo-Fries rearrangement products acted as short-lived intermediates and were subsequently converted into oxidation products under prolonged light exposure.
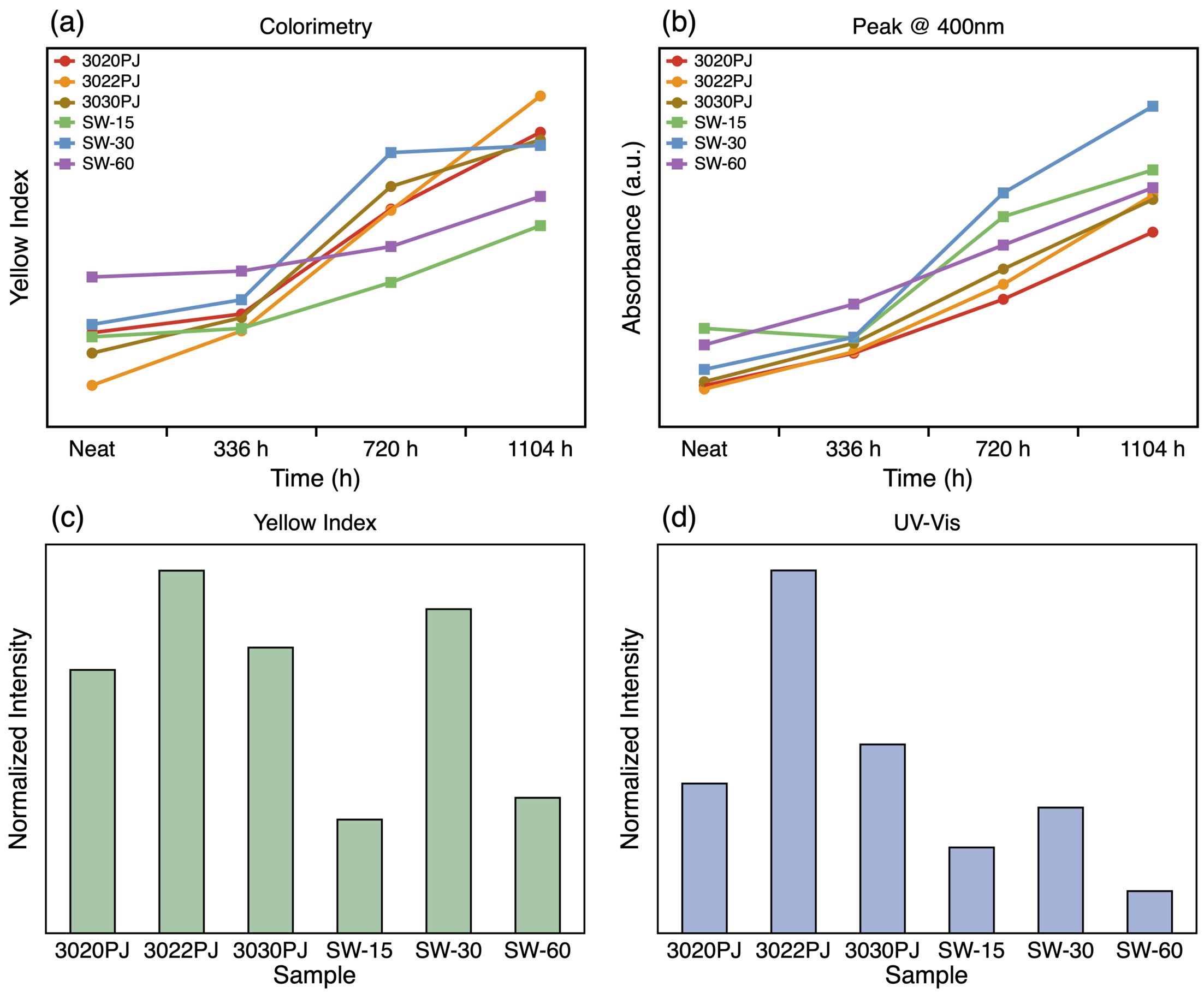
Yellowing Index. Throughout the accelerated weathering period, the yellowing index (YI) of the virgin and recycled PC samples increased consistently, indicating progressive discoloration, as shown in Figure 3(a). This discoloration is primarily attributed to the accumulation of chromophoric degradation products such as
conjugated carbonyls and phenolic structures, which absorb in the UV-visible region and alter the optical appearance of the material.1,11,12 Notably, the recycled samples exhibited smaller changes in YI compared to virgin samples over the aging duration. This is due to their higher initial YI values at 0 h, reflecting prior photo-induced and thermal degradation during earlier use and reprocessing. This trend corresponds well with the UV-Vis absorbance results in Figure 2, where recycled PC exhibited higher initial absorbance, reflecting the presence of pre-existing chromophoric species such as photo-Fries rearrangement products.13,23 These pre-existing optical defects explain the elevated yellowing index at the initial stage. The generation of such chromophores, particularly conjugated carbonyls, is directly linked to photo-oxidation, and their accumulation contributes significantly to visible yellowing.1,11
The absorbance at 400 nm in UV-Vis spectra is often used to estimate yellowing, because this wavelength reflects the absorption of degradation products that cause visible discoloration.23,24 Consistent with this, the 400 nm peak in Figure 3(b) rises in parallel with the yellowing index in Figure 3(a) for both virgin and recycled PC. To compare the two measures more directly, we examined the change from 0 h to 1104 h for each and then expressed that change relative to the initial level, and Figure 3(c)–(d) show similar behavior. Together these observations support the conclusion that the color shift is driven by the accumulation of chromophoric products from photodegradation.
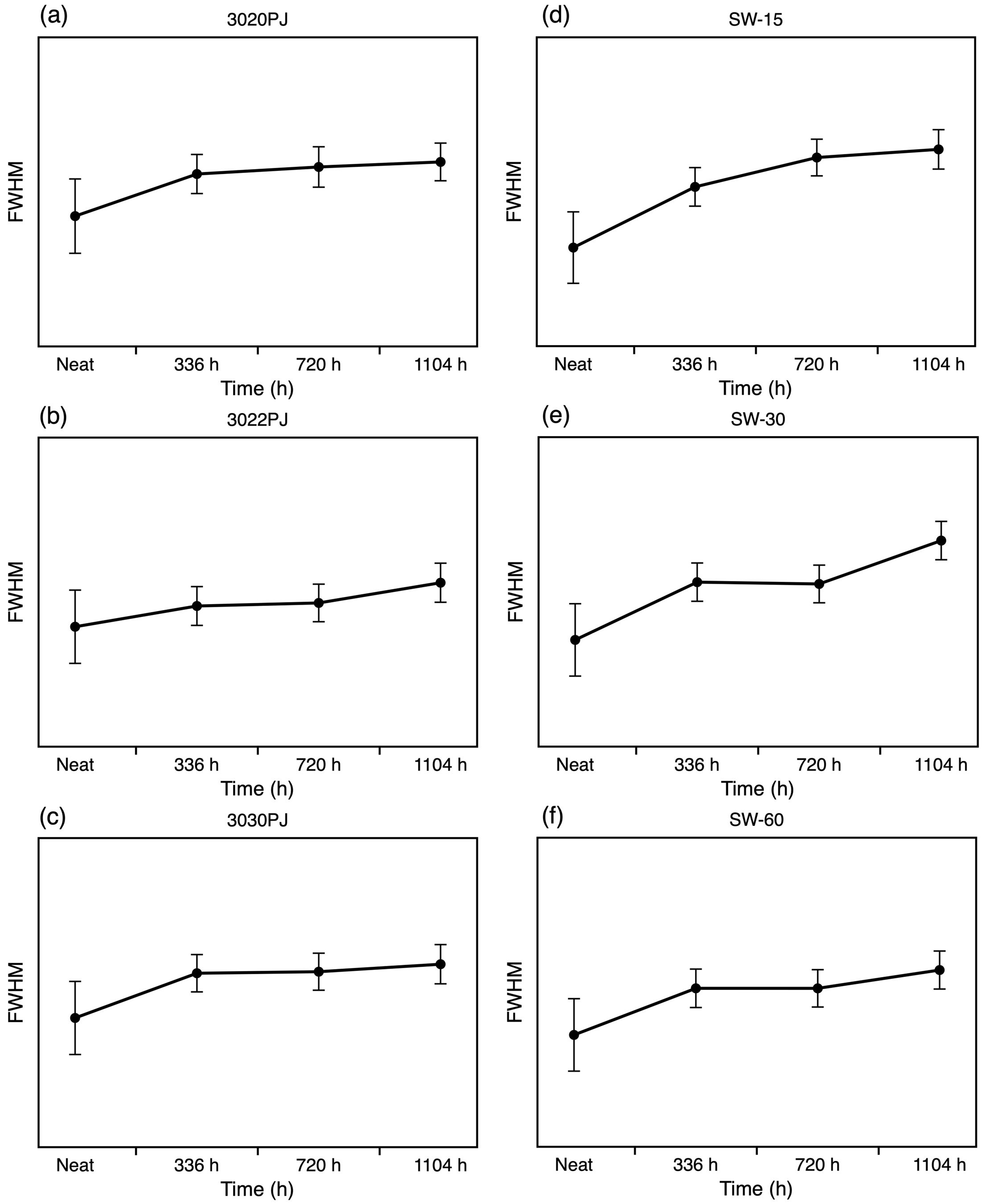
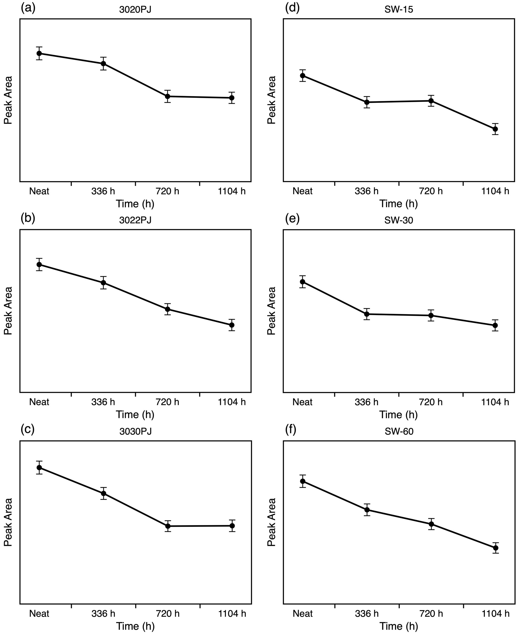
XRD. The crystallinity changes in PC samples over time were assessed using XRD analysis. As shown in Figure S2, the first diffraction peak linked to the crystallinity of PC gradually widened and decreased in intensity over time in both virgin and recycled samples. In particular, decreasing peak area in Figure 4(a)–4(f) and increasing full width at half maximum in Figure 5(a)–5(f) collectively indicate drop in crystallinity. These changes show that chain scission and molecular disorder were generated by photodegradation, leading to a breakdown of the semi-crystalline regions within the polymer matrix.1,25 This structural degradation is consistent with the previously documented chemical and optical deterioration, confirming the idea that weathering leads to irreversible damage at the molecular level.
Additionally, during the aging period, the recycled PC samples continuously displayed lower peak areas than the virgin samples, as illustrated in Figure 4(a)–4(f). This suggests that the recycled materials had quite poorer crystallinity from the onset, due to thermal and mechanical deterioration caused during the recycling process and prior photodegradation. The weaker crystallinity in the recycled samples also contributes to their higher sensitivity to photo-oxidative degradation, as revealed by the FTIR and UV-Vis analyses.
TGA. The thermal stability of virgin and recycled PC samples exposed to artificial weathering was assessed using TGA. For both kinds of samples, the onset decomposition temperature (Tonset) decreased after exposure, as summarized in Table 1, suggesting a loss of thermal stability as a result of photodegradation. The scission of polymer chains brought on by extended exposure to light weakens the molecular backbone and lowers the energy needed for thermal degradation.14,16 The process of chain breakage matches the trends of structural degradation found in XRD investigation.
Notably, Table 1 shows that the reduction in the Tonset was larger in recycled PC than in virgin. After exposure, the Tonset of the virgin samples decreased by 2.97, 2.55, and 3.14 ℃ after exposure, whereas the recycled samples exhibited larger decreases of 6.30, 7.64, and 3.15 ℃. This implies that the recycled samles were more vulnerable to further chain scission during light exposure because they had already experienced thermal mechanical stress during the recycling process and prior photodegradation. Consequently, the thermal stability of the recycled PC decreased more significantly than that of virgin PC, as indicated in Table 1.
UTM. The reduction of mechanical performance during photodegradation was evaluated using a UTM for both virgin and recycled PC. At 0 h, the virgin PC exhibited higher stress at break and strain at break than the recycled PC. In Figure 6(a), the stress-at-break traces of the virgin samples start at higher levels, whereas the recycled samples in Figure 6(b) start lower. Strain at break shows the same pattern, with the virgin samples in Figure 6(c) higher than the recycled samples in Figure 6(d). This difference is attributed to prior exposure to light and thermomechanical stress during the previous lifecycle and reprocessing of the recycled PC, which caused molecular degradation and chain scission.14,16 These observations are consistent with the greater initial UV absorbance and the higher yellowing index of the recycled PC, which indicate pre-existing structural damage.1
A Comparison Between the Early Stage and the late stage of aging shows that the ranking of samples was preserved. In Figure 6(a)–6(d), samples that had lower initial stress and strain remained lower after exposure. Also, the gap between the virgin and recycled widened over time. This divergence indicates that the initial properties strongly influence the rate and degree of photodegradation. Samples with higher initial ductility retained relatively higher strain values throughout the process, whereas samples with lower initial elongation embrittled earlier and remained at low strain once a critical reduction was reached. Therefore, the initial mechanical performance—particularly that of recycled PC shaped by its prior
lifecycle and processing—plays a decisive role in long-term behavior under light exposure.
During aging, both virgin and recycled PC exhibited a clear increase in Young’s modulus, as shown in Figure 6(e)–6(f). This apparent stiffening mainly arises from the definition of modulus as the ratio of stress to strain while stress at break declined only moderately, strain at break decreased far more sharply, amplifying the modulus.1 The pronounced reduction of strain reflects a substantial loss of ductility, as photo-induced chain scission lowers molecular weight and reduces entanglement density, limiting the ability of the polymer chains to undergo plastic deformation.11,13 This interpretation is consistent with the chain scission evidenced by TGA, where lower onset decomposition temperatures were observed after aging, and with the XRD results that indicated progressive structural degradation. Taken together, these findings confirm that photodegradation primarily compromises elongation-related properties rather than tensile strength.
OM. The surface morphology of PC samples was examined using OM to investigate the effects of accelerated weathering. As expected, noticeable surface degradation occurred over time. Both virgin and recycled samples showed an increase in surface scratches and defects after 1104 h of light exposure, as shown in Figure 8(a)–8(f), relative to the 0 h condition in Figure 7(a)–7(f). This visually confirms that photodegradation contributes to surface deterioration in PC.1, 26-28
Interestingly, the progression of yellowing was also visually detectable under the microscope. Virgin samples appeared brighter and whiter at 0 h but exhibited more pronounced yellowing after aging. In contrast, recycled samples were yellowish from the start, with less visible color change over time. This pattern mirrors the yellowing index results, where virgin PC had a lower initial YI but experienced a greater increase, while recycled samples started at a higher YI with minimal change. The OM observation confirms the occurrence of surface damage with aging and visually supports the optical degradation trends quantified through colorimetric analysis.28
|
Figure 1 Normalized peak intensities at 1630 cm and 1714 cm for virgin and recycled PC samples over the aging period. The intensities were normalized using the 1013 cm-1 peak: (a) 1630 cm-1; (b) 1714 cm-1. |
|
Figure 2 UV-Vis absorbance spectra of PC samples over time: (a) 3020PJ; (b) 3022PJ; (c) 3030PJ; (d) SW-15; (e) SW-30; (f) SW-60 |
|
Figure 3 Yellowing index of virgin and recycled PC samples over time and Normalized values of PC samples after 1104 h, relative to their initial values: (a), (c) YI; (b), (d) UV-Vis. |
|
Figure 4 Peak area of the first diffraction peak in PC samples obtained from XRD analysis: (a) 3020PJ; (b) 3022PJ; (c) 3030PJ; (d) SW-15; (e) SW-30; (f) SW-60. |
|
Figure 5 Full width at half maximum (FWHM) of the first diffraction peak in PC samples obtained from XRD analysis: (a) 3020PJ; (b) 3022PJ; (c) 3030PJ; (d) SW-15; (e) SW-30; (f) SW-60. |
|
Figure 6 Time-dependent mechanical properties of PC samples during photodegradation. Stress at break, Strain at break, and Young’s modulus for virgin and recycled samples: (a), (b) stress at break; (c), (d) strain at break; (e), (f) Young’s modulus. |
|
Figure 7 OM images of PC samples at 0 h: (a) 3020PJ; (b) 3022PJ; (c) 3030PJ; (d) SW-15; (e) SW-30; (f) SW-60. |
|
Figure 8 OM images of PC samples after 1104 h: (a) 3020PJ; (b) 3022PJ; (c) 3030PJ; (d) SW-15; (e) SW-30; (f) SW-60. |
This study systematically compared the photodegradation behavior of virgin and recycled PC under identical accelerated weathering conditions using multiple characterization techniques. Recycled PC showed significantly faster degradation than virgin PC in terms of chemical, optical, thermal, mechanical, and morphological properties.
Key findings revealed that recycled PC underwent more severe photo-oxidation and structural damage due to pre-existing defects introduced during previous use and reprocessing. These changes were validated
by FTIR, UV-Vis, and XRD analyses, while TGA and UTM results further confirmed thermal instability and mechanical embrittlement. The results highlight that the prior history of recycled PC strongly influences its degradation pathway and end-use performance.
These insights offer scientific evidence supporting the need for stabilization strategies (e.g., UV absorbers or nanofillers) when using recycled PC in light-exposed environments. Future work will focus on improving material durability through process optimization and functional additives to enable broader adoption of recycled PC in durable applications.
This Article2026; 50(2): 303-314
Published online Mar 25, 2026
ServicesIntroduction
Experimental
Results and Discussion
Conclusions
Correspondence toDepartment of Chemistry and Chemical Engineering, Education and Research Center for Smart Energy Materials and Process, Inha University, Incheon 22212, Korea