
Department of Chemical Engineering, Graduate School, Yeungnam University, Gyeongsan 38541, Korea
*School of Chemical Engineering, Yeungnam University, Gyeongsan 38541, Korea
영남대학교 대학원 화학공학과, *영남대학교 화학공학부
Reproduction, stored in a retrieval system, or transmitted in any form of any part of this publication is permitted only by written permission from the Polymer Society of Korea.
This study aimed to improve the mechanical properties and processability of polyhydroxybutyrate-co-valerate (PHBV) by blending it with polylactic acid (PLA) and polybutylene succinate (PBS), and evaluated the resulting blends in terms of mechanical, rheological, thermal, and structural properties. The addition of 25 wt% PLA significantly enhanced both the tensile strength and Young’s modulus of the PHBV blend due to the high stiffness of PLA and its good compatibility with PHBV. In contrast, PBS increased the elongation at break but decreased the modulus and tensile strength, attributed to the flexible nature of PBS and its lower compatibility with PHBV. Rheological analysis revealed stable processing behavior for PHBV/PLA blends, whereas PHBV/PBS blends exhibited irregular changes in loss tangent values depending on PBS content. Thermal analysis showed that PLA had minimal influence on PHBV crystallization, while PBS induced its own crystallization behavior. Morphological analysis by SEM demonstrated superior interfacial adhesion in PHBV/PLA blends, evidenced by fibril-like structures, whereas PHBV/PBS blends showed poor adhesion with interfacial voids. This study clearly demonstrates the distinct roles of PLA and PBS in tuning the properties of PHBV and provides a practical guideline for designing biodegradable polymer blends for sustainable applications.
본 연구에서는 폴리하이드록시부티레이트/발레레이트(PHBV) 공중합체의 기계적 성질 및 가공성을 개선하기 위해 폴리락틱산(PLA)과 폴리부틸렌석시네이트(PBS)를 각각 혼합하고, 이들 블렌드의 기계적, 유변학적, 열적 및 구조적 특성을 체계적으로 평가하였다. PHBV/PLA 블렌드는 PLA 25 wt% 혼합만으로도 인장 강도와 탄성계수가 크게 증가하였으며, 이는 PLA의 높은 강성과 PHBV와의 우수한 상용성에 기인한다. 반면 PHBV/PBS 블렌드는 PBS 함량 증가에 따라 파단 신율은 향상되었지만, 탄성계수와 인장 강도는 감소하였다. 유변물성 분석에서는 PHBV/PLA 블렌드가 가공성 측면에서 안정된 거동을 보였으며, PHBV/PBS 블렌드는 손실탄젠트 값이 PBS 함량 변화에 따라 불균일하게 변하였다. 열적 특성에서는 PLA가 결정화에 큰 영향을 미치지 않은 반면, PBS는 독립적인 결정화를 유도하여 결정성 고분자로서의 특성이 반영되었다. 구조 분석 결과, PHBV/PLA 블렌드는 계면 접착성이 우수하여 파단 시 섬유상 구조가 관찰되었고, PHBV/PBS 블렌드는 계면 분리 및 빈 공간이 관찰되어 계면 접착력이 낮은 것으로 판단되었다. 본 연구는 PHBV의 기계적 성능 또는 연신 특성 개선을 위한 PLA와 PBS의 역할을 명확히 제시하고, 생분해성 고분자 블렌드 설계의 방향을 제공한다.
This study compares the mechanical, thermal, and morphological properties of polyhydroxybutyrate-co-valerate (PHBV) blended with either polylactic acid (PLA) or polybutylene succinate (PBS). The PHBV/PLA blend demonstrated superior tensile strength and elasticity, indicating its higher potential for industrial applications in biodegradable materials.

Keywords: biodegradable polymer blends, polyhydroxybutyrate-co-valerate, polylactic acid, polybutylene succinate, mechanical properties.
본 연구는 산업통상자원부 국제공동기술개발사업(과제번호 P0022396), 산업혁신인재성장지원(R&D)사업(과제번호 P0020460)의 지원을 받아 수행된 과제로 이에 감사드립니다.
저자(들)는 이해상충이 없음을 선언합니다.
최근 환경오염과 자원 고갈 문제로 인해, 친환경적이며 생분해성이 우수한 고분자 소재에 대한 관심이 높아지고 있다.1,2 Polyhydroxybutyrate-co-valerate(PHBV)는 미생물 발효를 통해 생산되는 생분해성 고분자로, 친환경성뿐만 아니라 생체적합성과 높은 결정성으로 주목받고 있다.3 그러나, PHBV는 취성, 낮은 충격 저항성, 낮은 가공성 등으로 인해 광범위한 적용이 제한적이다.4 이러한 단점을 해결하기 위해, PHBV에 다른 생분해성 고분자를 블렌딩하는 방법으로 기계적 특성과 가공성을 향상시키는 방안이 연구되고 있다.5
PHBV에 생분해성을 유지하면서 기계적 특성을 보완할 수 있는 바이오매스 기반 고분자로는 polylactide(PLA)와 poly (butylene succinate)(PBS)가 있다.
PLA는 천연자원인 전분을 출발물질로 제조된 열가소성 지방족 폴리에스터의 한 종류이다.6 현재 가장 큰 규모로 상업 생산 중인 생분해성 고분자인 PLA는 기계적 강도가 높고 생분해성을 지닌 소재로 섬유, 포장재 등 다양한 분야에서 사용되고 있다. 하지만 PLA 역시 지방족 폴리에스터의 특성상 충격 강도와 연신율이 낮다는 단점을 가지며, 이를 보완하기 위한 타 고분자와의 블렌딩 연구가 보고되었다.7,8
PBS는 석신산과 1,4-부탄디올의 축합반응을 통해 합성된9,10 고분자로 우수한 생분해성, 용융 가공성 및 내화학성을 갖는다.11,12 PLA와 더불어 바이오매스 기반 생분해성 폴리에스터로 다양한 분야에 전개되고 있다.13
PLA와 PBS는 PHBV의 물성을 보완할 수 있는 생분해성 소재로, 각각 강도와 탄성계수, 연신율 등의 향상에 기여할 수 있다.14,15 PHBV와 PLA, PBS 블렌드의 특성을 최적화하기 위해서는 블렌드 비율의 최적화가 필요하며,16 블렌드 비율에 따른 기계적 성질과 구조 분석이 필수적이다.17
PHBV에 PLA와 PBS를 블렌딩한 연구는 바이오매스 기반 고분자의 응용 확대 측면에서 중요하며18 플라스틱 폐기물 문제를 완화하고, 지속 가능한 자원 관리 체계를 구축하는 데 기여할 수 있다.19,20
본 연구에서는 PHBV/PLA, PHBV/PBS 블렌드를 다양한 비율로 제조하고, 고분자 블렌드의 유변학적 특성과 인장특성을 분석하였다. 이를 통해 PLA, PBS 블렌딩이 PHBV 물성과 구조에 미치는 영향을 분석하고자 하였다.
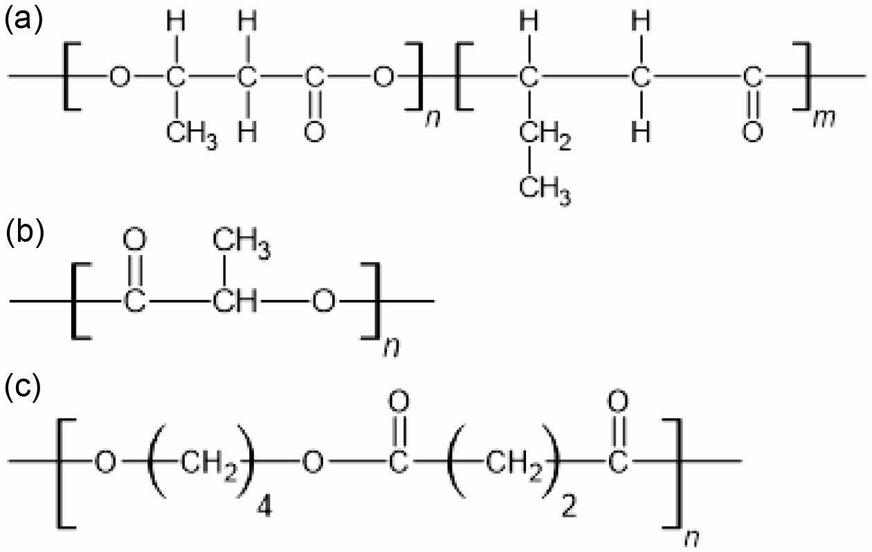
재료. 본 실험에 사용한 PHBV는 Danimer 2925(Nodax®, USA)를 사용하였고, PLA는 004-2021(ANHUI BBCA BIOCHEMICAL & FUTERRO PLA CO.LTD., China)를 PBS는 솔테크(South Korea)의 SPLPOL 5000NB를 사용하였다. Figure 1은 기계적 물성 측정을 위한 시료 사진이고, Figure 2는 블렌드에 사용된 3가지 폴리머의 화학 구조이다.
PHBV/PLA와 PHBV/PBS 혼합. 블렌딩에 앞서, PHBV, PLA, PBS는 60 ℃에서 12시간 동안 진공 오븐에서 건조하여 수분을 제거하였다. 다양한 조성의 PHBV/PLA 및 PHBV/PBS 블렌드를 내부 혼합기(internal mixer)를 이용해 혼합하였다. 블렌딩 조건은 캐비티(cavity) 온도 190 ℃, 혼합 시간 5분, 로터 회전 속도 50 rpm으로 설정하였다. Table 1은 PHBV/PLA, PHBV/PBS 혼합 조건이다.
PHBV/PLA, PHBV/PBS 블렌드 필름(Film) 제조 및 분석. PHBV/PLA, PHBV/PBS 블렌드 film을 제조하기 위해 유압식 핫프레스(hot press)를 이용하였다. 핫프레스의 상하부의 온도는 190 ℃로 설정하였고, PHBV/PLA, PHBV/PBS 혼합물 5 g을 5분간 예열한 후, 평균 압력 200 bar에서 2분간 압착하여 필름을 제조하였다.
PHBV/PLA, PHBV/PBS 블렌드 유변학적 특성 분석. PHBV/PLA 및 PHBV/PBS 블렌드의 유변학적 특성은 회전형 레오미터(MCR 302e, Anton Paar, Austria)를 사용하여 측정하였다. 190 ℃에서 parallel plate 방식으로 전단 속도 0.1-100 s-1 범위에서 전단 점도를 측정하였으며, 0-100 Hz 범위의 진동 모드에서 저장탄성계수, 손실탄성계수, 손실 탄젠트(tan δ)를 분석하였다.
PHBV/PLA, PHBV/PBS Film 인장 특성 분석. PHBV/PLA, PHBV/PBS 블렌드 Film의 인장강도, 초기탄성률, 파단 신율을 측정하기 위해 universal testing machine(AGS-10 knX, Shimadzu Scientific, Japan)을 사용해 실온에서 파지 거리 105 mm, 인장 속도 5 mm/min으로 측정하였다.
PHBV/PLA, PHBV/PBS 블렌드 열적 특성 분석. PHBV/PLA 및 PHBV/PBS 블렌드 필름의 인장강도, 탄성계수, 파단 신율은 만능 재료시험기(AGS-10kN, Shimadzu, Japan)를 사용하여 측정하였다. 실온에서 파지 거리 105 mm, 인장 속도 5 mm/min 조건으로 시험을 수행하였다.
PHBV/PLA, PHBV/PBS 블렌드 Film 구조 분석. PHBV/PLA 및 PHBV/PBS 블렌드 필름의 결정화도는 X선 회절 분석기(X-ray diffractometer, PAN AlyticalCo, Netherlands)를 이용하여 40 kV, 100 mA 조건으로 2θ =7~50°의 범위에서 5°/min의 속도로 측정하였다. 또한, 푸리에 변환 적외선 분광기(QATR-S, Shimadzu Scientific., Japan)를 사용하여 600-3100 cm-1 범위에서 흡광도를 측정하였다.
PHBV/PLA, PHBV/PBS 블렌드 SEM 분석. PHBV/PLA, PHBV/PBS 블렌드 파단면을 관찰하기 위해 금속이온코팅기(E-1030, Ion-Sputter)를 사용하여 입자 표면에 백금으로 진공 증착하고, SEM(scanning electron microscope, S-4800, Hitachi Co., Japan)으로 블렌드의 파단면을 관찰하였다.
|
Figure 1 Photographs of dog-bone shaped specimens (ASTM D638 type) used for tensile property evaluation. Each specimen is labeled with a number (1–9) and corresponds to a different PHBV-based blend composition as follows: (1) PHBV/PLA (75/25 wt%); (2) PHBV/PLA (50/50 wt%); (3) PHBV/PLA (25/75 wt%); (4) PHBV/PBS (75/25 wt%); (5) PHBV/PBS (50/50 wt%); (6) PHBV/PBS (25/75 wt%); (7) neat PHBV; (8) neat PLA; (9) neat PBS. |
|
Figure 2 Chemical structures of (a) PHBV; (b) PLA; (c) PBS. |
Figure 3은 유압식 핫프레스를 이용해 제작한 PHBV/PLA와 PHBV/PBS 필름의 인장성질을 비교한 그래프이다. PHBV/PLA 블렌드는 PLA 함량이 증가함에 따라 인장 강도와 탄성계수는 증가했다. 인장강도의 경우 PLA 혼합의 경우 함량이 증가할수록 선형적으로 증가하는 경향을 나타냈다. PBS의 경우 25, 50 wt% 블렌드에서는 강도가 오히려 약간 감소했다.
탄성계수의 경우 인장강도의 경우와 다른 경향을 나타냈다. PHBV/PLA의 경우 PLA를 25 wt% 첨가해도 탄성계수의 큰 증가가 관찰되었다. PLA의 함량이 증가할수록 선형적으로 증가할 것으로 예상한 것과 달리 25 wt%에서 크게 증가 후 이후 함량에서는 약간 증가하는 경향을 나타냈다. PHBV/PBS 블렌드의 경우 PBS 함량이 증가할수록 탄성계수는 감소하는 경향을 나타냈다. PBS는 부틸렌의 상대적으로 긴 사슬로 인해 분자 사슬의 유연성이 커 변형에 대한 저항인 탄성계수가 낮은 것으로 판단된다.
PHBV와 PLA은 Figure 2의 반복단위 화학구조에서 보듯이 주 사슬에 짧은 알킬기를 갖는 에스터 구조인 반면 PBS는 알킬 곁가지가 없고 상대적으로 더 긴 부틸렌기가 에스터 기와 연결된 구조로 유사성이 PHBV와 PLA 조합이 PHBV와 PBS 조합보다 더 크다. 고분자 블렌드 상용성 측면에서 PHBV와 PLA 조합이 더 좋은 것으로 판단된다. 탄성계수는 변형에 대한 저항으로 응력-신장 곡선에서 초기 변형의 기울기 값이고 인장강도의 경우 신장 후 절단 지점의 최대 강도이다. 상대적으로 상용성이 우수한 PLA 블렌드에 의해 PLA 25% 혼합에 의한 보강 효과에 의해 초기 변형에 대한 저항도 크게 증가한 것으로 판단된다.
절단신도에서도 PBS의 유연한 성질로 인해 PHBV/PBS 블렌드의 경우 PBS 함량이 증가할수록 절단신도가 증가하였다.
Figure 4는 PHBV/PLA와 PHBV/PBS 블렌드의 유변학적 특성을 비교한 그래프이다. 전단점도는 세 고분자 중 용융온도가 가장 높은 PLA를 기준으로 190 ℃에서 측정하였다. PBS의 용융온도가 PLA와 PHBV 대비 가장 낮은 용융온도를 갖으므로 전단점도 측정온도에서는 PHBV와 PBS 간의 전단점도 차가 PHBV와 PLA의 용융점도 차 보다 컸다. 측정 온도인 190 ℃는 PBS의 Tm(약 114 ℃)보다는 훨씬 높지만, PLA (약 170 ℃)나 PHBV(약 150-175 ℃)의 Tm에 더 가까우므로, 순수 고분자 상태에서의 유동성 차이가 블렌드의 유변 거동에 영향을 줄 수 있다. 전단점도의 결과도 상용성 측면에서는 PHBV와 PLA 블렌드가 유리할 것으로 판단된다.
점탄성 거동을 알아보기 위한 진동 모드에서의 저장탄성계수와 손실탄성계수 값으로부터 tan d 값을 구하여 비교하였다. 고온의 용융상태에서의 PHBV/PLA 블렌드의 손실탄젠트 값이 PHBV/PBS 대비 큰 값을 갖는다. 190 ℃에서 PHBV/PLA의 점성 거동이 PHBV/PBS 블렌드 보다 큰 것으로 추정된다.
Figure 5는 PHBV/PLA, PHBV/PBS 블렌드의 DSC 곡선을 나타낸 그림이다. PHBV의 경우 공중합체 특성으로 인해 140-180 ℃ 범위에서 결정 용융 피크의 분리가 관찰된다. PHBV는 박테리아가 자연적으로 합성하는 코폴리머로서, 합성 과정에서 3HB와 3HV가 무작위로 삽입되어, 결정구조가 단일하지 않고 다양한 형태의 결정 영역을 형성하기 때문이다.
PHBV/PLA 블렌드에서는 PLA 비율이 증가함에 따라 170 ℃ 부근의 PLA 결정 용융 피크가 커지는 것이 관찰되었다. 특이한 점은 PLA 함량 증가에 의해 90 ℃ 부근의 결정화 발열 피크가 증가하는 것이 관찰되었다. PLA의 25 wt% 블렌드에 의해서도 결정화 발열 피크가 관찰되었다. 반면 PHBV/PBS 블렌드에서는 결정화 발열 피크는 관찰되지 않았고 PHBV와 PBS의 용융피크만 관찰되었다.
Figure 6은 X선 회절 곡선을 나타낸 그림으로 PHBV/PLA 블렌드에서는 PLA 결정 발달이 크지 않았고 PHBV/PBS 블렌드에서는 모든 PBS 함량에서 PBS의 결정 발달이 관찰되었다. PBS의 경우 PHBV와의 상용성이 상대적으로 PLA 대비 낮아 블렌드시에도 결정 영역을 형성하고 있는 것으로 판단된다.
Figure 7~9는 PHBV/PLA와 PHBV/PBS 블렌드의 SEM 사진을 나타낸 그림이다. PHBV/PLA 블렌드 파단면은 거칠고 불규칙하며, 섬유나 가닥 같은 구조(fibril-like structures)가 뽑혀 나온 듯한 모습이 관찰된다. 파단 시 PHBV 매트릭스(연속상)와 분산된 PLA 상 사이에 계면 접착력이 존재하여, 계면에서 깨끗이 분리되지 않고 변형 및 신장이 발생했음을 보여준다. PHBV/PBS 대비 양호한 계면 접착력으로 인해 Figure 3에서의 탄성계수 결과도 도출된 것으로 판단된다. 계면에서의 상호작용으로 파단 시 더 많은 에너지가 소모되었을 것으로 추정된다. PHBV/PBS 블렌드 파단면에서는 분산된 PBS 입자 주변에 빈 공간(void) 또는 입자가 PHBV 매트릭스로부터 분리된 흔적이 관찰되었다. 이는 PHBV 매트릭스와 PBS 분산상 사이의 계면 접착력이 약함을 나타낸다. 파단 시 두 상 사이의 계면에서 쉽게 분리가 일어나며, PBS 입자가 매트릭스의 인장성질 향상에 기여하지 못한 것으로 판단된다. 이러한 구조적 불균일성은 유변학적 측정 중 변형 응력에 의한 에너지 손실이 불규칙하게 발생하게 만들며, 이는 tan δ 값의 불안정한 거동을 유발한다. Figure 4에서 살펴보았듯이 PHBV/PLA 블렌드에서는 PLA 함량에 따라 tan δ 값이 감소하는 거동 변화가 예측되는 경향을 나타냈으나 PBS 블렌드의 경우 PBS 50, 75 wt% 혼합비에서는 PHBV 단독 대비 더 낮은 tan δ 값을 갖는 불안정 거동을 나타냈다.
|
Figure 3 Mechanical properties of PHBV/PLA and PHBV/PBS blend polymers: (a) tensile strength; (b) Young’s modulus; (c) elongation at break. |
|
Figure 4 Rheological properties of PHBV/PLA and PHBV/PBS blend polymers: (a, b) shear viscosity; (c, d) storage modulus; (e, f) loss modulus; (g, h) loss tangent. |
|
Figure 5 DSC thermograms of (a) PHBV/PLA; (b) PHBV/PBS. |
|
Figure 6 Wide angle X-ray diffraction (WAXD) of (a) PHBV/PLA; (b) PHBV/PBS. |
|
Figure 7 SEM images of fracture surfaces of neat PHBV, PLA and PBS. |
|
Figure 8 SEM images of fracture surfaces of PHBV/PLA with different PLA contents. |
|
Figure 9 SEM images of fracture surfaces of PHBV/PBS with different PBS contents. |
본 연구에서는 PHBV의 기계적 물성을 향상시키기 위한 PLA 및 PBS 혼합이 PHBV 고분자 블렌드의 유변학적, 열적, 구조적 특성을 살펴보았다. 용융혼합을 통해 제조한 PHBV/PLA 및 PHBV/PBS 블렌드에 대해 결과 다음과 같은 결론을 도출하였다.
1. PLA는 PHBV와의 상용성이 양호하며, PLA 함량이 증가할수록 인장 강도와 탄성계수가 증가하였다. 특히, PLA 25 wt% 혼합만으로도 초기 탄성계수가 크게 향상되었으며, 이는 PLA의 높은 강성과 블렌드 내에서의 균일한 분산에 기인한 것으로 보인다. SEM 분석에서도 PHBV/PLA 블렌드의 계면 접착성이 우수함이 관찰되었고, 이는 기계적 성능 향상에 기여한 주요 요인으로 작용하였다.
2. PBS는 인장강도 및 탄성계수에는 부정적인 영향을 미쳤으나, 파단신율은 크게 증가시켰다. 이는 PBS의 긴 사슬에 의한 유연성 증가 때문으로 판단된다. 그러나 결정성 고분자인 PBS는 PHBV와의 상용성이 낮아, 블렌딩 시 결정화 억제 및 계면 분리 현상이 관찰되었으며, SEM 이미지에서도 계면 접착력이 낮은 것으로 나타났다.
3. PHBV/PLA 블렌드는 점도 및 tan δ의 변화 폭이 작고 가공성이 양호한 반면, PHBV/PBS 블렌드는 PBS 함량 변화에 따라 tan δ 값이 불균일하게 변화하며 유변학적 안정성이 떨어지는 경향을 보였다.
4. DSC 및 XRD 분석을 통해, PLA 혼합은 PHBV의 결정화에 큰 영향을 미치지 않는 반면, PBS는 독립적인 결정화를 유도하며, 상호 결정화 방해 작용이 나타났다. 특히, PLA의 경우 낮은 결정성으로 인해 혼합 시 PHBV의 결정구조에 크게 관여하지 않았고, 반대로 PBS는 강한 결정 피크를 나타냈다.
This Article2025; 49(5): 642-649
Published online Sep 25, 2025
Services
Correspondence to*School of Chemical Engineering, Yeungnam University, Gyeongsan 38541, Korea