
Sohyun Choi# , Moonsung Park# , Minjun Kim, Hobin Seon, and Sangwon Kim† 
Department of Polymer Science and Engineering, Program in Environmental and Polymer Engineering, Inha University, Incheon 22212, Korea
인하대학교 고분자공학과 및 고분자환경융합공학전공
Reproduction, stored in a retrieval system, or transmitted in any form of any part of this publication is permitted only by written permission from the Polymer Society of Korea.
Highly crystalline copolymers composed of crystalline and amorphous units were utilized to fabricate ion gels. Poly(docosyl acrylate-r-methyl acrylate) copolymers, synthesized via free radical polymerization, were solution-blended with ionic liquids ([EMI][TFSI]) to prepare ion gels. The resulting ion gels exhibited high crystallinity, and the crystallized domains of docosyl acrylates functioned as cross-links. We conducted a systematic investigation of the thermal and mechanical properties of the ion gels and studied their feasibility for self-healing and strain sensor applications. A comparison with previous results highlights the importance of amorphous units in achieving mechanically tough and self-healable ion gels.
결정성 성분과 비결정성 성분으로 구성되어 있는 높은 결정화도를 갖는 공중합체를 이용하여 이온젤을 구현하였다. 자유 라디칼 중합법으로 합성된 poly(docosyl acrylate-r-methyl acrylate) 공중합체를 이온성 액체([EMI][TFSI])와 용액 혼합하여 이온젤을 제작하였다. 해당 공중합체 및 이온젤은 높은 결정성을 띄며, 이러한 결정 영역은 젤에서 물리적 가교 역할을 수행한다. 본 연구에서는 이온젤의 열적 및 기계적 특성을 분석하고, 자가치유 성질 및 스트레인 센서로서의 응용 가능성을 평가하였다. 또한, 이전 연구와의 비교를 통해 네트워크를 구성하는 공중합체의 비결정성 성분이 우수한 기계적 강인성을 보이며 자가치유가 가능한 이온젤을 구현하는 과정에서 주요한 역할을 할 수 있다는 점을 발견하였다.
Highly crystalline ion gels were fabricated by solution blending poly(docosyl acrylate-r-methyl acrylate) copolymers with ionic liquids. Crystallization of the side chains induces physical cross-linking in the specimens. The thermal, optical, and mechanical properties were characterized, and the self-healing and strain sensor applications of the ion gels were studied as a function of crystallinity.

Keywords: ion gel, crystalline, ionic liquid, cross-link, strain sensor.
이 성과는 2024년도 정부(과학기술정보통신부)의 재원으로 한국연구재단의 지원을 받아 수행된 연구임(RS-2024-00431381). 이 논문은 인하대학교의 지원에 의하여 연구되었음.
저자들은 이해상충이 없음을 선언합니다.
고분자에 대한 1H NMR, TGA, DSC 실험결과 그리고 이온젤의 결정화도, 경사실험, 긁힘성 실험, 물리적 성질에 대한 정보는 다음 사이트에서 얻을 수 있습니다 (https://journal.polymer-korea.or.kr).
PK_2025_049_04_450_Supporting_Information.pdf (760 kb)
Supplementary Information
웨어러블 전자기기는 사용자의 신체에 부착되어 다양한 활동을 보조할 수 있는 장비들을 의미하며, 이러한 기기는 전기적인 신호를 전달할 수 있는 전도성 이외에도 신체의 다양하고 반복적인 움직임을 견딜 수 있는 신축성과 유연성을 가져야 한다. 하이드로젤과 이온젤 등의 고분자 기반 연성 재료는 이러한 성질을 모두 충족하며 웨어러블 전자기기의 여러 연구 분야에 활용되고 있다.1 또한 이들 재료는 용매 주형법(solvent casting), 3D 프린팅, 성형, 스핀/블레이드 코팅 등의 여러 공정 방법이 적용 가능하다는 장점을 가진다.2 특히 이온성 액체와 고분자 네트워크로 구성되는 이온젤은 높은 열적/화학적 안정성, 우수한 이온 전도성, 그리고 낮은 증기압과 같은 이온성 액체의 고유한 성질을 나타내며, 이온성 액체의 종류/함량, 고분자의 가교 방법, 네트워크의 형태에 따라 여러 물성들이 조절 가능하다는 장점을 가지고 있다. 이러한 특징으로 인해 이온젤을 압력 및 스트레인 센서, 유기박막 트랜지스터의 게이트 유전체, 디스플레이 등에 적용하는 연구가 많이 보고되었다.
다양한 화학적 및 물리적 가교 방법들이 이온젤의 네트워크를 구현하는데 적용되었으며, 그 중 결정성 고분자의 결정 영역을 물리적인 가교 형태로 활용하고 여러 응용 분야에 적용하는 연구들이 보고되었다.3-6 Jansen의 실험실은 poly(vinylidene fluoride-co-hexafluoropropylene) (PVdF-HFP) 기반의 높은 CO2/H2 선택성을 갖는 분리막을 제작하였다.3 Liu 등은 쉽게 구할 수 있는 폴리아미드(polyamide)를 고분자 네트워크로 사용하여 저비용의 이온젤 기반 고분자 전해질을 제작하였다.4 해당 연구에서는 폴리아미드의 결정들의 효과적인 물리적인 가교로 인해서 수분 민감도와 누출로 인한 부식 문제들이 완화되는 것을 보였고, 알루미늄 이온 배터리의 전해질로서 이온젤의 활용 가능성을 확인하였다. Sun의 실험실은 폴리카프로락톤(polycaprolactone) 고분자에 수소결합이 가능한 기능기들을 도입하여 고분자 네트워크를 구성하고, [EMI][TFSI]와의 용매 주형법을 통하여 80 ℃에서 자가치유가 가능한 이온젤을 제작하였다.5 해당 연구에서는 이온젤에 높은 손상 저항성과 내구성을 부여하는 주요 요인으로 폴리카프로락톤의 인장 결정화(strain-induced crystallization)를 제시하였다. 또한 Yoo 등은 결정 형성이 가능한 곁사슬 구조의 공중합체와 [EMI][TFSI]의 혼합으로 이온젤을 제작하고, 이를 poly(3-hexylthiophene) (P3HT) 박막 트랜지스터의 게이트 유전체 층으로 활용하였다.6
결정 형성이 가능한 성분을 포함하고 있는 공중합체의 경우, 비결정성 성분의 농도, 화학적 구조, 사슬 내 분포 등에 따라 결정 구조 및 결정화도가 영향을 받는다.7 Flory는 비결정성 성분의 농도가 결정화도에 미치는 영향을 이론적으로 연구하였고, 이 때 결정성 성분과 비결정성 성분의 사슬 내 서열 길이 분포를 기반으로 결정화도를 계산하였다.8 주사슬에서 결정을 형성하는 폴리에틸렌(polyethylene) 및 폴리아미드 계열의 공중합체뿐만 아니라, 결정 형성이 가능한 곁사슬을 포함하는 공중합체에서도 비결정성 성분의 영향에 대한 연구가 일부 보고되었다. Kagami 등은 비결정성 성분을 아크릴산(acrylic acid, AA) 대신 메틸아크릴레이트(methyl acrylate, MA)를 사용하였을 때 단량체 간 호환성의 변화로 인해서 좀 더 작은 크기의 결정 영역이 공중합체 내 형성됨을 확인하였다.9 Matsuda 등은 비결정성 불소계 성분인 2,2,2-trifluoroethyl acrylate(TFEA)를 공중합체에 도입하였을 때 결정 영역 내 국소적인 비결정화를 유도하여 층상 구조 간의 거리가 감소하고 탄성 특성이 향상됨을 확인하였다.10 곁사슬 말단에 카르복실기를 가지는 16-acryloyloxyhexadecanoic acid(AHA)를 공중합체 성분으로 추가하는 경우 결정화도는 감소하였지만, 수소결합을 통해 더 얇고 안정화된 층상 구조가 형성되어 높은 열 안정성을 달성함을 확인한 결과도 Osada의 실험실에 의해서 보고되었다.11 Okay의 실험실은 poly(N,N-dimethylacrylamide-r-n-octadecyl acrylate) 공중합체에 lauryl acrylate을 일부 첨가하면서 하이드로젤을 제작하였다.12 소량(< 0.4 mol%)의 lauryl acrylate의 존재로 인해서 좀 더 얇고 정렬된 라멜라 결정 구조를 형성하였고, 그 결과로 하이드로젤의 기계적인 강인성은 10배 가량 개선되는 효과를 확인할 수 있었다. Hirabayashi 등은 스티렌(styrene)과 α-메틸스티렌(α-methyl styrene)을 각각 공중합 성분으로 사용하였을 때 바뀌게 되는 주사슬 유연성이 곁사슬의 결정화도에 미치는 영향을 연구하였다.13
본 연구에서는 poly(docosyl acrylate-r-methyl acrylate) 공중합체를 자유 라디칼 중합 방법을 이용하여 합성하고, 이온성 액체와 용액 혼합하여 이온젤을 제작하였다. docosyl acrylate (A22)의 긴 알킬기에 의한 결정 영역이 이온젤 내 물리적인 가교를 형성하였다. 과거 비결정성 성분으로서 사용되었던 tert-butyl acrylate(tBA)와 비교하여 MA는 상대적으로 작은 곁사슬을 가지며,14 이와 같은 비결정성 성분의 변화가 공중합체 및 이온젤의 열적, 기계적 특성 등 물리적인 성질에 미치는 영향을 조사하였다. 또한 반복적인 움직임에 의한 이온젤의 전기적인 저항 변화 측정을 통해 스트레인 센서 동작을 평가하여 웨어러블 전자기기 분야에서의 응용 가능성을 확인하였다.
재료. Docosyl acrylate(A22, >95%, TCI Chemicals, Japan)는 dichloromethane(>99.5%, Daejung Chemicals, Korea)에 용해하고 alumina(neutral, Sigma-Aldrich, USA) 컬럼을 통해 정제한 이후 사용하였다. Methyl acrylate(MA, 99%, Sigma-Aldrich, USA) 또한 동일한 컬럼을 통해 정제한 후 사용하였다. N,N'-Azobisisobutyronitrile(AIBN, 99%, Daejung Chemicals, Korea)는 메탄올을 사용하여 재결정화한 뒤, 24시간 동안 진공 건조하여 사용하였다. 1-Ethyl-3-methylimidazolium bis (trifluoromethylsulfonyl)imide ([EMI][TFSI], >98%, Sigma- Aldrich, USA), toluene(HPLC grade, Daejung Chemicals, Korea), methanol(HPLC grade, Daejung Chemicals, Korea), 그리고 chloroform(HPLC grade, Duksan Chemicals, Korea)은 추가 정제 과정 없이 사용되었다.
고분자 합성. Poly(docosyl acrylate-r-methyl acrylate) 공중합체는 자유 라디칼 중합에 의해 합성되었다. 둥근 바닥 플라스크에 A22와 MA(총 69.0 mmol), AIBN(0.11 g, 0.69 mmol), 톨루엔(18.0 mL)을 투입한 후, 용액이 완전히 혼합되면 아르곤 기체로 30분간 산소 제거를 진행하였다. 이후, 80 ℃에서 24시간 동안 교반하며 중합을 진행하였다. 반응 종료 후 반응기를 개봉하여 라디칼 중합 반응을 멈추고, 톨루엔(18.0 mL)을 추가로 첨가하여 용액을 희석하였다. 반응 혼합물을 메탄올에 침전하고 필터링하는 과정을 3회 반복하여 정제한 뒤, 상온에서 진공 건조하여 중합된 고분자를 수득하였다. 합성된 고분자는 AM-X로 명명하였는데, X는 공중합체 내 A22의 몰분율을 나타낸다. 본 연구에서는 AM-12, AM-14, 그리고 AM-16으로 명명된 세 종류의 공중합체들을 사용하였다.
이온젤 제작. 본 연구에서는 용매 주형법을 사용하여 이온젤을 제작하였다. AM-X (2.5 g)와 클로로포름(12.0 mL)을 바이알에 투입한 후 50 ℃에서 1시간 교반하여 고분자가 완전히 용해되도록 하였다. 이후, [EMI][TFSI] (13.3 g)를 첨가하고, 동일한 온도에서 2시간 동안 추가로 교반하였다. 제작된 혼합 용액을 페트리 디쉬(petri dish, 직경 8 cm)에 부어 수분이 통제된 조건에서 2주간 상온 건조하여 이온젤을 제작하였다. 제작된 이온젤은 AM-XG로 명명하였다. 이온젤 제작에 사용된 고분자의 조성 중 A22의 몰분율이 8 mol% 이하인 경우 결정화 네트워크가 충분히 형성되지 못하여 구조를 유지하지 못하고 흐르는 것을 확인하였다. 반면 A22의 몰분율이 16 mol%보다 높은 경우 제작된 이온젤은 너무 취약하여 기계적 물성을 분석하는데 어려움이 있었다. 이에 본 연구에서는 AM-12G, AM-14G, AM-16G 이온젤들에 대해서 시험을 진행하였다.
특성 분석. 중합된 공중합체의 조성은 핵자기 공명 분광기(nuclear magnetic resonance spectroscopy, 1H NMR, Avance 400 MHz, Bruker, Germany, chloroform-d)를 사용하여 분석되었다. 열 중량 분석기(thermogravimetric analysis, TGA, TG 209 F3 Tarsus®, NETZSCH, Germany)는 질소 분위기 내 30-600 ℃ 온도 범위 안에서 10 ℃/min의 승온 속도로 물질의 열분해 거동을 측정하였으며, 질량 변화율이 5%일 때 열분해 온도(Td)를 측정하였다. 시차 주사열량계(differential scanning calorimetry, DSC, Jade, PerkinElmer, USA)는 질소 분위기에서 10 ℃/min의 승온 및 냉각 속도로 -40 ℃부터 80 ℃까지 측정하였다. 제작된 물질의 기계적 성질을 측정하기 위해 만능시험기(universal testing machine, UTM, 5569, Instron, USA)를 사용하여 5 mm/min의 속도로 단축 연신 실험을 수행하였다. 강인성은 측정된 응력–변형(stress–strain) 곡선의 면적을 적분하여 계산하였다. 긁힌 시편은 heating stage(TMS 94, Linkam Scientific Instruments, UK)를 이용하여 일정한 온도를 유지하였으며, 시편의 표면을 광학현미경(optical microscope, Optiphot-2 Pol, Nikon, Japan)을 사용하여 관찰하였다. 제작된 시편의 투과도는 UV-Vis 분광기(ultraviolet-visible spectrometer, Lambda 750, PerkinElmer, USA)를 이용하여 400-800 nm의 범위에서 투과 스펙트럼을 측정하여 평가하였다. 제조된 필름의 물접촉각은 5 μL의 물방울을 적하하고 접촉면의 접촉각을 측정하였다(Pheonix 300, SEO, Korea). 황동/이온젤/황동 구조로 제작된 샘플에서 임피던스 분광법(electrical impedance spectroscopy, EIS, SP-200, Bio-Logic, France)을 통해 이온 전도성을 측정하였으며, 동일한 기기를 사용하여 이온젤 기반 스트레인 센서의 성능을 평가하였다.
고분자 합성 및 이온젤 제작 결과. 이온성 액체와의 호환성 정보를 바탕으로 공중합체의 성분을 결정하였고, 자유 라디칼 중합을 이용해서 poly(docosyl acrylate-r-methyl acrylate) 공중합체(AM-X)를 합성하였다. Watanabe 등은 [EMI][TFSI]와 다양한 단량체 및 단일중합체 간의 상용성을 실험하였다.15 단량체 상태에서는 용해성을 띄는 많은 물질들이 고분자 중합 이후에는 이온성 액체 내 상분리가 일어났지만, 이번 연구에서 공중합체 성분으로서 사용된 MA는 단량체 및 중합된 상태에서도 이온성 액체와 용해성을 띈다는 사실이 보고되었다. 반면 A22의 단일중합체(AM-100)는 [EMI][TFSI]와의 상용성이 없다는 것을 과거 연구에서 확인한 바 있다.16 이와 같은 단량체들의 상용성 결과를 바탕으로 A22와 MA로 이루어진 poly(docosyl acrylate-r-methyl acrylate) (AM-X) 공중합체를 세 가지의 다른 조성(A22 투입량 X=12, 14, 16 mol%)에 대해서 합성하였다. 중합된 고분자의 1H-NMR 분석을 통해서 투입량과 실제 A22 함량이 일치하는 것을 확인하였다(Table 1, Figure S1). 용매 주형법을 이용하여 각각의 AM-X로부터 AM-XG 이온젤을 제작하고, 이온젤에 실제 함유된 이온성 액체의 함량을 측정하였다. 이는 이온젤에서 이온성 액체를 제거한 후, 남아있는 시편의 무게 변화량을 측정하여 계산 가능하다. 선택적으로 [EMI][TFSI]에만 용해성이 있는 메탄올에 이온젤을 2주 동안 담가 용매 치환을 진행한 뒤, 24시간 동안 상온에서 진공 건조하였다. 이후 1H NMR 분석을 통해 이온성 액체가 완전히 제거되었음을 확인한 뒤 무게 변화량을 측정하였다. AM-12G, 14G, 16G의 경우 각각 47.5, 39.4, 31.6 wt%의 이온성 액체를 함유하고 있는 것을 확인하였다(Table 2). A22의 함량이 증가할수록 이온성 액체의 함유량이 감소하는데, 이에 대한 주요 원인은 A22 함량 증가에 따른 이온젤 네트워크 내 가교 밀도 증가로 추측된다. 이러한 결정화도 증가에 따른 용매 함량의 감소 추세는 과거 하이드로젤에서도 관측된 바가 있다.17
열적 및 구조적 특성 분석. AM 고분자의 열 안정성을 분석하기 위해 TGA 분석을 실시하였고, 질량 변화율 5%에서의 온도를 측정하여 고분자의 분해 온도 Td를 비교하였다(Figure S2). AM 고분자는 304.6-308.4 ℃ 정도의 비슷한 분해 온도를 갖는 것을 확인하였다. 또한 AM 이온젤의 TGA 분석 결과 분해 온도는 322.7-327.1 ℃ 범위를 가졌으며, 이는 이온젤들이 우수한 열 안정성을 띄고 있다는 것을 의미한다(Figure 1).
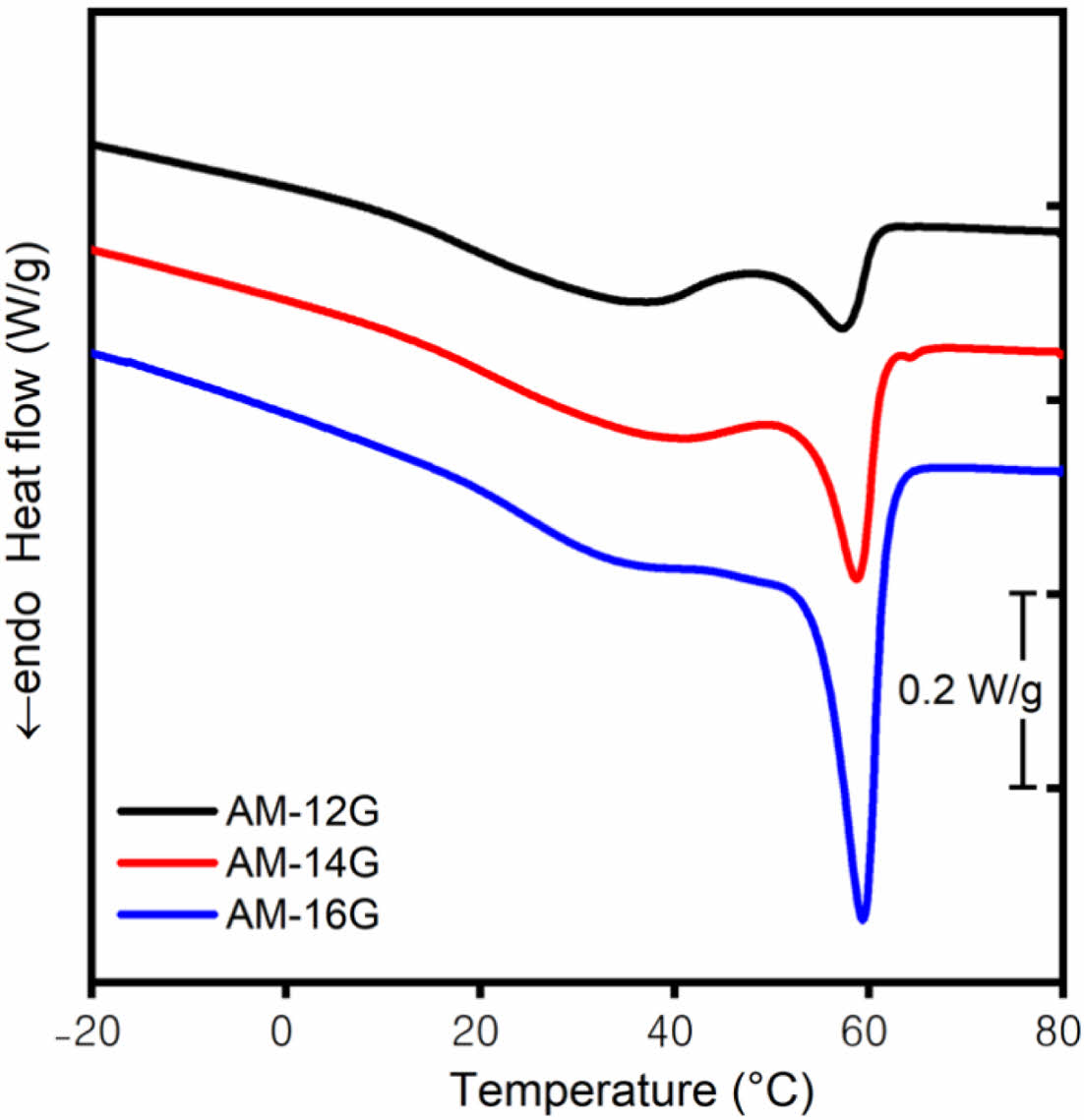
AM 고분자의 결정화 특성을 분석하기 위해 DSC 측정 결과를 Figure S3에 나타내었다. Table 1에 제시된 AM 공중합체의 결정화도는 고분자 내 A22 성분이 결정화에 참여한 비율을 AM-100을 기준으로 계산한 값이다. 이는 과거 보고된 방법을 따른 것이며,18 이 때 AM-100의 융해열로서 ΔHA22 = 120 J/g을 사용하였다.19 AM-12, 14, 16 고분자들의 결정화도는 각각 79.7, 80.6, 91.2% 이었으며, 결정 형성이 가능한 단량체인 A22의 양이 많아질수록 더 높은 비율의 A22가 결정 형성에 참여할 수 있다는 것을 알 수 있다. Jordan 등은 이전 연구에서 octadecyl acrylate(A18)를 다양한 단량체(MA, ethyl acrylate, n-butyl acrylate 등)와 공중합하였을 때 결정 형성이 가능한 A18 단량체의 함량이 증가할수록 합성된 고분자의 결정화도가 높아지는 비슷한 결과를 확인하였다.18 AM 고분자의 경우 용융 피크 넓이가 0-60 ℃의 넓은 온도 범위를 가지는 것을 확인할 수 있는데, 이와 비슷한 결과가 A22와 AA의 공중합체에서 관측된 바 있다. Bisht 등은 이와 같은 현상을 비결정성 성분의 조성이 증가함에 따라서 더 넓어진 결정 크기의 분포로 인해 발생한 것으로 설명하고 있다.20
AM 이온젤의 결정화 특성을 분석하고, 더 큰 곁사슬을 가지는 tBA를 비결정성 성분으로 사용했을 때 연구 결과와 비교하였다. AM-12G, 14G, 16G 이온젤들의 결정화도는 각각 76.7, 84.0, 93.1%이었으며, 각각 해당하는 AM 공중합체의 결정화도와 유사함을 알 수 있었다(Table 2, Figure 2). AM 이온젤에서 이렇게 높은 결정화도가 관측된 것에 반하여 MA 대신 tBA를 사용하여 이온젤을 제작한 경우 A22의 몰분율이 10-20 mol%일 때 2.8-66.1%의 상대적으로 낮은 결정화도가 측정되었다(Figure S4).14 이와 같은 결정화도 차이는 동일한 결정성 성분(A22)이 사용되더라도 비결정성 성분에 따라 공중합체의 결정화 특성이 많이 다를 수 있음을 의미한다.
본 연구에서는 AM 이온젤의 구조적 안정성을 평가하기 위해 상온에서 경사 실험을 진행하였다(Figure 3, Figure S5). 각 이온젤 시편은 45° 기울인 상태로 시간 경과에 따라 관찰하였는데, 모두 72시간 후에도 흐르지 않고 초기 형태를 유지함을 확인하였다. 이 결과는 이온젤 내부에 형성된 결정 영역이 물리적 가교 역할을 하여 이온젤의 흐름에 대한 저항성이 증가하는 것으로 이해할 수 있다.
광학적 및 표면 특성 분석. AM 이온젤을 사용하여 제작된 필름은 결정화도가 증가함에 따라 투과도가 감소하는 경향을 보였다. Figure 4는 이온젤 필름의 투과도 측정 결과를 나타낸다. 400-800 nm의 파장 범위에서 AM-12G, 14G, 16G 필름의 투과도는 각각 64-82, 37-66, 21-54%의 범위를 가졌다. AM 고분자 내 결정 형성이 가능한 단량체인 A22의 함량이 증가할수록 이온젤 필름 내부에 빛의 산란을 일으키는 결정 영역이 증가하면서 이온젤 필름의 투과도가 감소하는 현상이 일어난다.
본 연구에서는 AM 이온젤의 결정 네트워크 존재를 재확인하고 자가치유 특성을 확인하기 위해 긁힘성 실험(scratch test)을 진행하였다. 본 실험은 제작된 이온젤 필름에 균열을 발생시킨 후, 일정한 온도(상온, 65 ℃)에서 시간 경과에 따른 변화를 관찰하였다. Figure S6에서 볼 수 있듯이, 상온에서는 생성된 균열이 24시간 이후에도 변화 없이 유지되었다. 반면, 65 ℃에서 실험을 진행했을 경우 20초 내에 균열이 사라지는 것을 확인할 수 있었다(Figure 5). AM 이온젤의 용융 온도(약 60 ℃, Figure 2)보다 낮은 상온에서는A22의 결정화에 의해서 분자의 움직임이 제한되어 자가치유 성질이 보이지 않은 것으로 이해할 수 있다. 하지만 용융 온도보다 온도를 올리는 경우 A22의 결정구조가 모두 융해되면서 더 이상 분자의 움직임을 제한하지 않게 되고, 자유로운 분자들의 움직임으로 인해서 짧은 시간 안에 필름 내 자가치유가 일어났을 것으로 추정할 수 있다.
AM 이온젤의 소수성(hydrophobicity)을 확인하기 위해 물접촉각 측정을 진행하였다. AM-12G, 14G, 16G의 접촉각은 각각 73.3, 74.4, 98.4°로 확인되었다(Figure 6). 과거 동일한 [EMI][TFSI]를 사용하여 이온젤을 구현한 경우를 살펴보면, Sun의 실험실은 poly(ethylene glycol) diglycidyl ether와 poly(propylene glycol) bis(2-aminopropyl ether)를 [EMI][TFSI]와 블레이드 코팅하였을 때 38.5°의 물접촉각을 보이는 것을 확인하였다.21 반면 Xu 등은 poly(trifluoroethyl acrylate-co-acrylamide)와 [EMI][TFSI]를 사용하여 높은 기계적 성질과 자가치유 특성을 보이는 불소계 이온젤을 구현하였는데, 이 때 113°의 물접촉각이 측정되었다.22 이런 연구 결과들은 동일한 소수성 이온성 액체가 사용되더라도, 고분자 네트워크의 종류에 따라 물접촉각이 달라질 수 있음을 의미한다.
기계적 성질 분석. AM 이온젤의 기계적 성질을 분석하기 위해 인장 시험을 수행하였고, 측정된 응력–변형 곡선과 이로부터 계산한 기계적 성질을 각각 Figure 7와 Table S1에 나타내었다. AM-12G, 14G, 16G의 영탄성률(E)은 0.8-8.8 MPa의 범위를 가졌으며 결정성 성분(A22)의 함량이 증가함에 따라 기계적 변형에 대한 저항성을 의미하는 E는 증가하였다. 반면, 파괴점 신장률(εb)은 13-56% 범위 안에서 A22의 함량이 증가함에 따라 감소하는 경향을 보였다. 과거 AM 이온젤과 비슷한 화학적 구조를 가지지만 상대적으로 낮은 결정화도를 가지는 poly(A22-r-tBA) 기반의 이온젤을 제작하고 연구한 사례가 있다.14 해당 연구에서는 결정 영역으로 인한 강한 물리적 가교와 곁사슬 결합으로 인한 약한 가교의 적절한 배합을 통해서 우수한 기계적인 물성을 관측할 수 있었다. 또한 해당 이온젤은 외부 자극이 없는 상황에서 높은 자가치유 회복률을 보였다. 반면 높은 결정화도를 가지는 AM 이온젤의 경우 주된 가교는 결정 영역으로 이루어졌을 것으로 예상된다. 결정화 가능한 결정성 성분(A22)의 몰분율이 증가함에 따라 AM 이온젤의 결정화도가 76.7%에서 93.1%로 증가하였는데(Table 1), 이에 따라 E는 증가하고 εb는 감소하는 경향을 보였다. 이는 강한 결합의 역할을 하는 결정 영역의 증가로 인해서 시편들이 점차 취약해지는 것을 보여준다. AM-12G와 비교하였을 때 AM-14G와 AM-16G에서 뚜렷한 기계적인 물성 변화가 관측되었으며, 이는 결정 미세 영역들의 분포 및 형태 차이에 기인한 것으로 추정할 수 있다.12 또한, 결정화에 참여하지 않는 곁사슬의 결합도 이온젤의 기계적인 물성에 영향을 줄 수 있을 것으로 판단된다.23 과거 결정성을 띄는 곁사슬 구조의 n-alkyl (meth)acrylate 단량체와 다양한 성분과의 조합으로 이루어진 공중합체들이 합성되고 기계적 물성의 변화가 연구되었다.17,24 Okay의 실험실은 A18 단량체를 각각 N,N-dimethylacrylamide (DMA)와 AA와의 광중합을 통해서 두 종류의 공중합체를 합성하고, 이를 기반으로 하이드로젤을 제작하였다.17 A18의 함량이 증가할수록 하이드로젤의 E와 결정화도는 증가하였다. 동시에 εb는 계속 감소했는데, 결정화도가 28% 이상일 때 εb는 5% 이내의 값을 가졌다. 공중합체의 두 성분(A18과 vinylidene chloride) 모두 결정성을 띄는 경우 더 복잡한 경향이 관측된다.24 A18 성분이 적은 함량으로 공중합체 내 존재할 때에는 공중합체의 유리 전이 온도를 낮추는 가소제처럼 동작하고 주사슬의 결정화를 억제하는 역할을 A18이 수행하였다. 이 때 A18의 함량이 증가할수록 E와 인장 강도는 감소하고 εb는 증가하는 경향을 보였다. 하지만 A18의 함량이 추가적으로 더 증가하게 되면 E는 급격히 증가하고 취약성이 강해지는 반대 경향 또한 확인되었다.
전기적 특성 및 스트레인 센서 거동 분석. 이온성 액체와 복합체를 이루어 제작된 이온젤은 이온 전도성을 지니고 있다. 본 논문에서는 이온젤의 전기화학적 특성을 분석하기 위해, 1 Hz-3 MHz 범위에 대하여 임피던스 분광법(EIS)을 진행하였다. Figure 8(a)에 이온젤의 나이퀴스트 선도(Nyquist plot)를 나타내었으며, 삽입된 등가회로를 이용해서 이온전도도를 계산하였다. AM-12G, 14G, 16G는 각각 0.036, 0.020, 0.008 mS/cm의 이온전도도를 보인다. 해당 등가회로에서 R1은 이온젤 내 전하 이동과 관련된 항이다. Q1과 Q2는 constant phase element(CPE) 성분으로, 각각 이온젤 내의 커패시터 성분과 전극과의 계면에서 형성하는 이중층(double layer) 관련 커패시터 성분을 의미한다. 구조의 다공성과 흡착 등으로 발생하는 전기화학적 현상은 이상적인 커패시터로 설명하기 어렵기 때문에 등가회로에서 보통 CPE 성분을 사용하게 된다.25,26
본 논문에서는 AM-12G의 스트레인 센서로서의 응용 가능성을 확인하기 위해, 신장–수축과 같은 기계적인 변형을 가하여 이에 따라 발생하는 전기저항의 상대적인 변화값(ΔR/R0)을 측정하였다. Figure 8(b)는 다양한 변형률에 따른 스트레인 센서의 거동을 나타내는데, 변형률에 따라 ΔR/R0가 증가함을 알 수 있었다. 그리고 반복적인 신장–수축 변화에 대하여 발생되는 이온젤 기반 스트레인 센서의 전기저항 변화(ΔR/R0) vs. 변형률 그래프의 기울기를 구하여 gauge factor (GF)를 계산하였다(Figure 8(c)). 측정된 AM-12G의 GF=1.29 수치는 기존에 출간된 다른 이온젤 논문들과 비슷하며, 기존 보고된 이온젤들과 기계적인 변형에 대한 비슷한 민감도를 가진다는 것을 의미한다.27,28 반면 상대적으로 높은 결정화도를 가지는 AM-14G, 16G는 높은 취약성으로 인해서 스트레인 센서로서의 활용은 성공적이지 않았다.
|
Figure 1 TGA curves of AM ion gels. |
|
Figure 2 DSC thermograms of AM ion gels (second heating at 10 ℃/min). |
|
Figure 3 Vial tilt test results of AM ion gels at room temperature for 72 h. |
|
Figure 4 Transmittance spectra of AM ion gel films over the wavelength range of 400-800 nm (film thickness = 0.3 mm). |
|
Figure 5 Optical microscope images of scratched AM ion gels at 65 ℃ monitored over time. The scars disappeared within 20 s at 65 ℃. The scale bar corresponds to 100 μm. |
|
Figure 6 Images of water droplets on AM ion gel films. |
|
Figure 7 Stress–strain curves of AM ion gels. |
|
Figure 8 (a) Nyquist plots of AM ion gels. The inset shows the equivalent circuit model utilized in the fitting. R1 corresponds to the bulk resistance while Q1 and Q2 correspond to constant phase elements of AM ion gels (film thickness = 0.6-0.7 mm). (b) ΔR/R0 as AM-12G specimens are stretched and contracted with varying magnitudes. (c) A linear relationship between ΔR/R0 and the imposed strain was observed. |
|
Table 1 Characteristics of AM Copolymers |
a Feed ratio of A22 in synthesis; b mole fraction of A22 in copolymers, measured by 1H NMR; c melting temperature and d crystallinity, measured by DSC. |
|
Table 2 Characteristics of AM Ion Gels |
a Ionic liquid content of AM ion gels; b crystallinity, measured by DSC; c ionic conductivity (film thickness = 0.6–0.7 mm). |
본 연구에서는 결정성 성분과 비결정성 성분으로 구성된 poly(docosyl acrylate-r-methyl acrylate) 공중합체를 이온성 액체([EMI][TFSI])와 용액 혼합하여 웨어러블 전자기기로 사용이 가능한 이온젤을 제작하였다. 본 연구에서 분석된 이온젤은 32-48 wt%의 이온성 액체를 함유하고 있었으며, A22 사슬의 물리적 가교로 형성된 결정 영역의 점진적인 융해로 인해서 넓은 용융 온도 범위를 나타냈다. 특히 이온젤의 결정화도는 77-93%로, 상대적으로 큰 곁사슬의 비결정성 성분을 사용할 때와 비교하여 확연히 높은 결정화도를 갖는 것을 알 수 있었다. 분석된 이온젤은 A22의 함량이 증가할수록 가교점 역할의 결정 영역 증가로 인하여 탄성률은 증가하고 파괴점 신장률은 감소하는 경향을 보였다. 결정화를 통해 물리적인 가교가 구현된 AM 이온젤은 용융점 이상의 온도에서 빠른 자가치유가 가능하였다. 상대적으로 높은 파괴점 신장률을 보이는 이온젤의 경우 반복적인 움직임에 따른 저항 변화를 성공적으로 감지하며 스트레인 센서로 구현되었다. 이러한 결과들을 통해 해당 연구는 비결정성 성분의 조정을 통해 결정성을 변화시키고, 구현된 이온젤의 열적, 기계적, 전기적 특성 등 성질이 조절될 수 있음을 제시하였다.
This Article2025; 49(4): 450-457
Published online Jul 25, 2025
Services
Correspondence toDepartment of Polymer Science and Engineering, Program in Environmental and Polymer Engineering, Inha University, Incheon 22212, Korea