
Department of Chemical Engineering, Kyonggi Unviersity, 154-42, Gwanggyosan-ro, Yeontong-gu, Suwon 16227, Korea
경기대학교 화학공학과
Reproduction, stored in a retrieval system, or transmitted in any form of any part of this publication is permitted only by written permission from the Polymer Society of Korea.
In this study, a solvent-free non-isocyanate polyurethane (NIPU) was synthesized by reacting carbonated castor oil with various amines, and the effects of amine structure on the properties of castor oil-based NIPU were investigated. The structures of epoxidized and carbonated castor oil, as well as the synthesized NIPU, were analyzed using Fourier transform infrared (FTIR) and nuclear magnetic resonance (NMR). Tensile strength and thermal resistance were evaluated using universal testing machine (UTM) and thermogravimetric analysis (TGA), respectively, while hydrophobic performance was assessed through contact angle measurements.
본 연구에서는 카보네이트화된 피마자유와 서로 다른 아민을 반응시켜 무용제성 비-이소시아네이트 폴리우레탄(NIPU)을 합성한 후, 물성을 측정하여 아민의 구조가 피마자유 기반 NIPU의 물성에 미치는 영향을 고찰하였다. 먼저 에폭시화 후에, 카보네이트화된 피마자유와 NIPU의 구조는 Fourier transform infrared(FTIR)과 nuclear magnetic resonance(NMR)을 통해 분석하였고, 만능시험기(UTM)와 thermogravimetric analysis(TGA)를 이용하여 인장 강도와 내열성을 측정하였으며 소수 성능을 확인하기 위해 접촉각을 분석하였다.
We synthesized an environmentally friendly non-isocyanate polyurethane (NIPU) using castor oil and CO2 gas. NIPU films were synthesized using different amines, and the effect of amine type on the film properties was analyzed. The properties of NIPU films were analyzed using fourier transform infrared (FTIR) and nuclear magnetic resonance (NMR), tensile strength, thermal property and the contact angle.

Keywords: castor oil, carbonated castor oil, non-isocyanate polyurethane, bio-based non-isocyanate polyurethane.
본 논문은 2022년도 경기대학교 연구년 지원을 받아 연구되었음.
저자들은 이해상충이 없음을 선언합니다.
폴리우레탄은 1930년대 오토바이어(Otto Bayer)에 의해 발견된 이후, 상업적으로 많이 응용되고 있는 고분자이다.1,2 폴리우레탄은 구조에 따라 유연성, 내구성, 접착성, 절연성 등의 뛰어난 물성을 가지고 있는 고분자 중 하나로 일반적으로 이소시아네이트(-NCO)와 폴리올(-OH)의 반응으로 우레탄 결합이 형성된다.3 폴리우레탄은 자동차 산업, 건축 및 건설 산업, 의료 산업 등 여러 분야에서 응용되고 있지만, 주원료로 사용되는 이소시아네이트 제조시 포스겐 가스가 사용되고, 이소시아네이트 자체의 독성으로 인한 천식 및 피부염과 같은 건강 문제와 수분 민감성을 가지고 있어 사용이 제한되고 있다.4
이러한 문제를 해결하기 위해 이소시아네이트를 사용하지 않는 비-이소시아네이트 폴리우레탄
(non-isocyanate polyurethane, NIPU)을 합성하는 연구가 진행되고 있다.5,6 이는 카보네이트와 아민을 반응시켜 우레탄 결합을 형성하는 방법으로, 1957년 Dyer와 Scott에 의해 처음 발견되어 많은 연구가 이루어지고 있다.7,8 NIPU는 카보네이트(carbonate)와 아민의 반응을 통해 우레탄 결합을 형성하는데, 카보네이트는 주로 에폭시 수지에 CO2를 반응시켜 환형 카보네이트를 합성하여 NIPU 제조에 이용하고 있다.9,10 환형 카보네이트 중에서도 5-membered cyclic carbonate에 대한 연구가 가장 많이 보고되었는데, 이는 앞서 말한 에폭시 작용기에 CO2를 합성하여 사용할 수 있기 때문이다.11,12 또한 지구 온난화 물질 중 하나인 CO2를 이용해 합성을 진행하기 때문에 더욱 유의미한 연구이다.13 하지만 5-membered cyclic carbonate는 CO2 가스와 합성 시 tetrabutylammonium bromide(TBAB)등의 촉매 존재 하에서도 반응성이 상대적으로 낮아 고온 및 긴 반응 시간이 필요하기 때문에 환형 카보네이트를 대량 생산하는 데 있어 제한이 있다.14 이를 극복하고자 상압에서 카보네이트를 합성하는 연구가 진행되고 있다.15-20
바이오 오일에는 해바라기씨유, 대두유, 아마인유, 피마자유 등이 있으며 이중결합, 수산기를 포함하고 있어 바이오 오일의 이중결합 혹은 수산기에 카보네이트를 합성한 후, 아민과의 반응을 통해 NIPU를 합성하는 연구가 진행되고 있다.21-27 Centeno 등은 카보네이트화된 대두유와 과량의 아민을 반응시켜 말단에 아미노기를 갖는 NIPU 수지를 합성해 에폭시 경화제로 사용하는 연구를 진행하여 기존에 사용하던 에폭시 코팅에 비해 더 높은 경도를 갖는 하이브리드 NIPU 코팅을 합성하였다.21 Guzman 등은 높은 수율의 카보네이트화된 피마자유를 얻기 위한 실험을 통해 최적의 반응 조건을 제시하였다.28 Pathak 등은 피마자유에서 얻은 지방산을 이용해 NIPU를 합성한 후 연필경도와 내충격성을 비교하는 연구를 진행하여 2H의 경도와 70.86lbs-inch의 내충격성을 갖는 NIPU 코팅 합성에 성공하였다.29 비식용인 피마자유(castor oil)는 수산기를 가지고 있는 바이오 오일로, 폴리우레탄 합성에 많이 사용되고 있다.30-32 그러나 카보네이트화된 피마자유를 이용해 피마자유 기반의 NIPU 필름을 합성하는 연구는 보고되지 않았다.
본 연구에서는 피마자유에 에폭시화 후에 카보네이트화를 진행한 후 아민과 반응을 통해 NIPU 필름을 합성하였다. 또한, 서로 다른 구조를 갖는 아민인 hexamethylenediamine(HMDA), isophorone diamine(IPDA), tris(2-aminoethyl)amine(TA)을 사용하여 아민의 구조에 따른 NIPU 필름의 물성을 연구하고자 하였다.
시약 및 재료. 본 연구에서 사용된 피마자유, HMDA, IPDA, TA, epichlorohydrin, TBAB는 Merck사에서 구매하였고, BF3· (OEt)2는 TCI(일본)사의 제품을 추가적인 정제없이 사용하였다.
Epoxidized Castor Oil(ECO) 합성. 피마자유 232 g을 질소 분위기의 500 mL 3구 플라스크에 첨가하고 BF3·(OEt)2를 넣어 교반한 후, epichlorohydrin을 첨가하여 80 ℃에서 24시간 동안 반응시켰다. 반응이 끝난 후 50 ℃로 식혀주고 50% NaOH 수용액을 첨가하여 5시간 동안 교반한다. 고체 침전물을 제거하기 위해 감압 여과로 필터링 후 물을 제거하여 ECO를 합성하였다.
Carbonated Castor Oil(CCO) 합성. 합성한 ECO를 500 mL 3구 둥근 바닥 플라스크에 넣고 TBAB 1 g을 첨가하여 교반한다. 이후 CO2를 0.1 L/min으로 흘려주며 110 ℃에서 30시간 동안 버블링을 진행하여 환형 카보네이트를 합성하였다.
피마자유 기반 무용제성 NIPU 필름 합성. CCO에 아민을 과량으로 첨가하여 NIPU 필름을 합성하였다. 합성 시 CCO: HMDA와 CCO: IPDA는 각각 1:2 당량, CCO: TA는 3:4 당량으로 첨가하여 110 ℃에서 3시간 동안 교반시켰다. 이후 150 ℃ 몰드에서 72시간 동안 경화시켜 필름을 합성하였다. 합성된 필름은 사용한 아민의 종류에 따라 HMDA-NIPU, TA-NIPU, IPDA-NIPU로 명명하였다.
분석. 구조분석을 위해 Fourier transform infrared(FTIR)과 nuclear magnetic resonance(NMR)을 사용하였다. FTIR은 Bruker사의 Platinum-ATR을 사용하여 4000-400 cm-1 범위에서 분석하였다. 1H NMR과 13C NMR은 BRUKER사의 400’54 Ascend를 이용해 구조 분석하였고, 용매로 DMSO-d6와 CDCl3를 사용했다. 열분석은 Perkin Elmer사의 TGA4000을 이용하여 40-700 ℃의 온도 범위에서 10 ℃/min의 승온속도로 분해 온도와 잔여량을 측정하였다. 접촉각 측정은 S-EO사의 phoenix 300을 이용하였다. 기계적 강도는 ㈜티앤돌프사의 만능시험기(UTM)을 이용하여 ASTM-D412에 따라 측정하였다.
피마자유 기반 무용제성 NIPU의 합성. 비식용 피마자유와 지구 온난화 물질인 CO2 가스를 사용하여 친환경적인 NIPU 필름을 합성하였다. 피마자유에 epichlorohydrin을 1:3 몰비로 첨가 후 환류반응을 통해 피마자유의 수산기에 에폭시 작용기를 도입하여 ECO를 합성하였다. ECO에 카보네이트 작용기를 도입시키기위해 CO2를 110 ℃ 상압에서 반응시켜 CCO를 약 70%의 수율로 합성하였다.
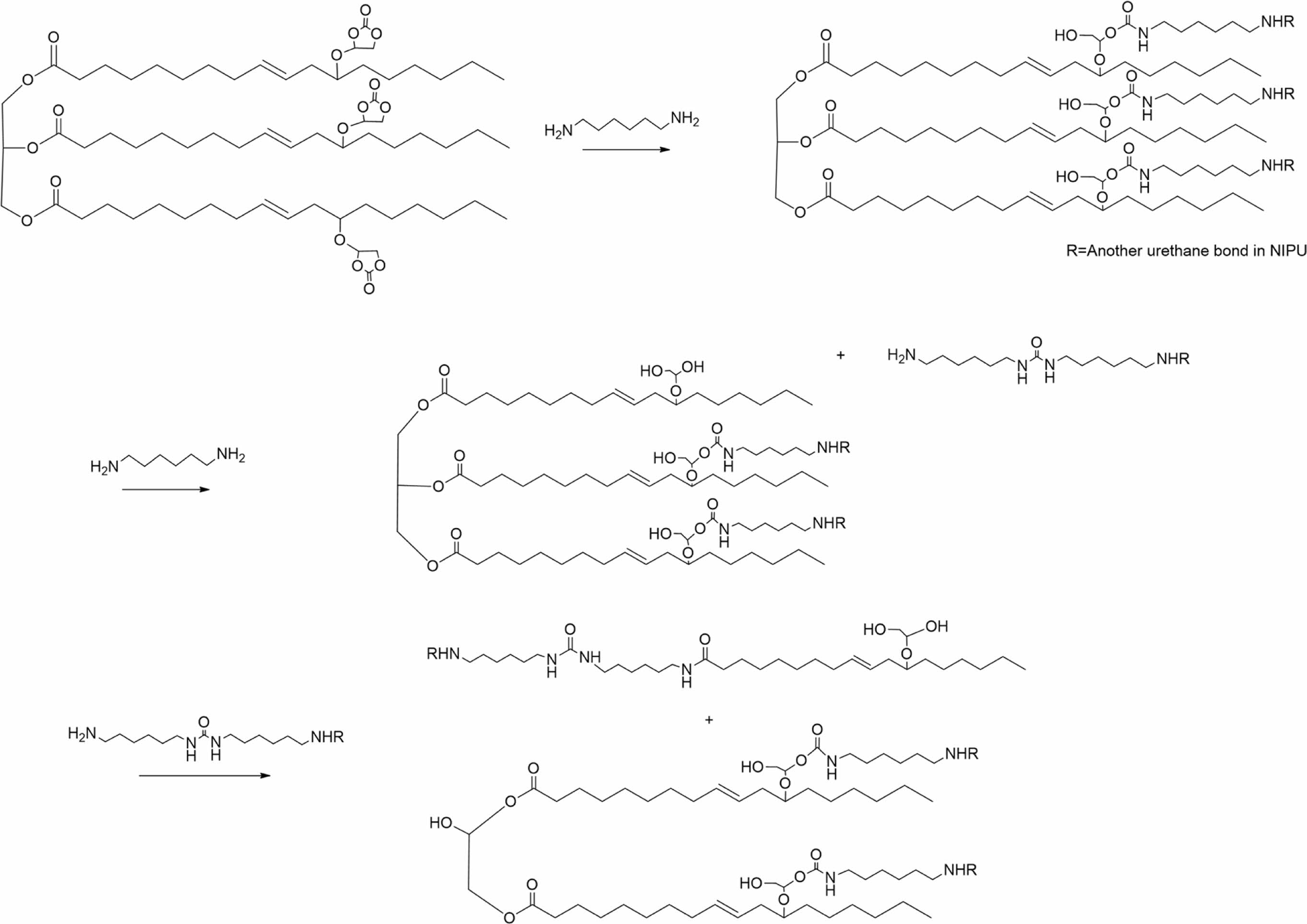
바이오 오일(해바라기씨유, 콩기름)을 사용한 NIPU의 경우 DMF, DMSO 등의 독성 용매를 사용해 합성하는 경우가 대부분이다.27 그러나 본 실험과같이 피마자유의 수산기에 카보네이트를 도입할 경우 Figure 1과 같이 카보네이트 작용기가 사슬 외부에 위치하여 사슬의 유연성을 높이기 때문에 용매를 사용하지 않고 NIPU를 합성할 수 있다. 아민은 HMDA와 IPDA의 경우 카보네이트: 아민=1:2 당량, TA의 경우 카보네이트: 아민=3:4 당량 비율로 각각 첨가하여 필름을 합성하였다.
피마자유 기반 ECO, CCO의 구조 분석. 합성한 NIPU의 구조는 FTIR과 NMR을 사용하여 분석하였다. Figure 2는 피마자유와 ECO 및 CCO의 FTIR을 나타낸 그래프이다. 피마자유의 1000 cm-1, 1100 cm-1에서 C-OH 작용기의 피크가 에폭시기로 전환됨에 따라 에폭시기의 C-O-C 결합이 1250 cm-1, 908 cm-1에서 생성됨을 확인하였다. ECO에 카보네이트화가 진행함에 따라 에폭시기의 피크인 1250 cm-1, 908 cm-1가 사라지고, 1800 cm-1에서 환형 카보네이트의 C=O 피크가 나타나 CCO가 합성됨을 확인하였다. Figure 3은 피마자유와 ECO 및 CCO의 13C NMR을 분석한 결과이다. 피마자유의 13C NMR 데이터에서 주사슬의 에스테르 결합은 172 ppm, 이중결합은 약 131 ppm에서 나타나고 C-O 결합인 68 ppm의 피크를 확인할 수 있다. ECO의 그래프에서 약 55 ppm에서 에폭시기의 피크가 나타나 ECO가 합성되었음을 확인하였으며, CCO의 175 ppm에서 카보네이트의 C=O 결합이 나타나 고 75 ppm, 72 ppm에서 환형 카보네이트의 탄소 피크가 나타나 CCO가 성공적으로 합성되었음을 확인하였다. 이때, 피마자유의 에스테르 작용기를 나타내는 172 ppm과 주사슬에 있는 이중결합 피크인 131 ppm은 동일하게 존재하여 피마자유의 이중결합은 반응에 참여하지 않으면서 -OH 작용기에 합성된 에폭시 작용기가 카보네이트기로 전환됨을 확인할 수 있었다.
아민 종류에 따른 피마자유 기반 NIPU의 구조 분석. Figure 4에서는 서로 다른 아민과 CCO를 이용해 합성한 3종의 NIPU 필름의 FTIR을 나타내었다. 아민과의 반응으로 합성된 NIPU 샘플의 경우, CCO의 환형 카보네이트를 나타내는 1800 cm-1 피크가 사라지고, 우레탄과 에스테르기를 나타내는 1730 cm-1와 NH 결합을 나타내는 1530 cm-1가 생성됨으로써 피마자유 기반 무용제성 NIPU가 합성되었음을 확인하였다.
HMDA-NIPU는 IPDA-NIPU와 TA-NIPU에 비해 우레탄 피크인 1730 cm-1는 줄어드는 반면 우레아를 나타내는 1660 cm-1 피크는 증가하는 경향을 나타내었다. 이는 아민 화합물이 카보네이트와 반응하여 NIPU를 합성한 후에 3관능기를 갖는 TA와 고리형 구조를 갖는 IPDA에 비해 유동성이 자유로운 과량의 HMDA가 NIPU의 우레탄이나 에스테르 작용기와 추가 반응하여 우레아나 아미드를 형성하였기 때문으로 사료된다(Figure 5). Figure 6에 나타낸 HMDA-NIPU의 1H NMR 그래프에서는 7.2 ppm에서 우레탄 결합의 피크가 나타나는 것을 확인할 수 있다. 추가적으로, 8.0 ppm에서 아미드 결합의 피크, 5.3 ppm에서 우레아 및 주사슬의 C=C 결합의 피크가 나타나 추가반응이 일어난 것을 확인할 수 있었다.
피마자유 기반 NIPU 필름의 열적 특성 분석. 아민 종류에 따른 NIPU 필름의 열적 특성을 TGA를 사용하여 비교하였다. 초기 분해는 Figure 7 및 Table 1에서 보는 바와 같이 288 ℃부터 NIPU 필름의 분해가 시작되어 세 종류의 필름에서 유사한 경향성을 나타낸다. 분해가 끝난 뒤 잔여 질량을 확인하면 HMDA의 경우 가장 낮은 7.86%를 나타내는 것을 알 수 있다. 이는 추가 반응으로 인해 형성된 짧은 사슬로 인해 열적 안정성이 감소하는 것으로 사료된다. IPDA-NIPU는 고리형 구조로 인해 HMDA-NIPU보다 더 높은 열 안정성을 보였다.
피마자유 기반 NIPU 필름의 기계적 물성. Figure 8에는 합성한 샘플의 인장강도와 변형율을 나타내었다. HMDA-NIPU의 경우 사슬형 아민이 앞서 형성된 우레탄 결합 및 주사슬의 에스테르 작용기와 반응하여 각각 58.5 kJ/mol, 32.5 kJ/mol의 높은 수소 결합 에너지를 갖는 우레아와 아미드를 형성하여 3.94 MPa의 높은 인장 강도를 나타내었다.33 그러나 추가반응으로 인한 수소결합의 증가와 짧은 사슬의 형성으로 인해 낮은 신율을 보이는 것으로 사료된다.IPDA-NIPU의 경우 고리형 구조를 지니고 있어 hard segment의 역할을 수행하여 3.76 MPa의 강한 인장 강도를 나타내었으나, hard segment의 영향으로 낮은 신율을 나타내었다. TA-NIPU의 경우 HMDA-NIPU와 비교하여 높은 연신율을 나타내었는데, 이는 HMDA-NIPU에 비해 낮은 수소결합으로 인해 상대적으로 높은 신율을 나타냄을 알 수 있다. 또한, 인장강도는 Figure 4의 우레아 피크 세기에 비례하는 경향성을 가지고 있다.
피마자유 기반 NIPU 필름의 접촉각 분석. 피마자유 기반 무용제성 NIPU 필름을 합성한 후, 각각의 접촉각 분석을 통해 소수성을 확인하였다. NIPU는 우레탄 사슬에 수산기를 가지고 있어 친수성을 띄는 것으로 알려져 있으나 합성된 NIPU 필름은 Table 2에서 보는 바와 같이 최소 90.61°, 최대 109.42°의 접촉각으로 소수성을 지니는 것을 확인하였다. 특히, IPDA-NIPU는 IPDA의 소수 특성으로 인해 더 큰 접촉각을 나타내었다. Figure 9
|
Figure 1 Synthetic route of ECO and CCO. |
|
Figure 2 FTIR spectra of ECO and CCO. |
|
Figure 3 13C NMR spectra: (a) castor oil; (b) ECO; (c) CCO. |
|
Figure 4 FTIR spectra of (a) CCO, HMDA-NIPU, TA-NIPU, IPDA-NIPU; (b) 1600-1800 cm-1 peak of NIPUs. |
|
Figure 5 Additional reactions of a HMDA-NIPU film. |
|
Figure 6 1H NMR spectrum of a HMDA-NIPU film. |
|
Figure 7 TGA curves of HMDA-NIPU, TA-NIPU, and IPDA-NIPU. |
|
Figure 8 Mechanical properties of HMDA-NIPU, IPDA-NIPU, and TA-NIPU films. |
|
Figure 9 Contact angle of NIPU films: (a) HMDA-NIPU; (b) IPDA-NIPU; (c) TA-NIPU. |
본 연구에서는 CO2를 함유한 무용제성 NIPU 필름을 만들기 위해, 먼저 에폭시화 후에 카보네이트화 시킨 피마자유를 이용하여 서로 다른 3종류의 아민과 반응시켜 HMDA-NIPU, IPDA-NIPU, TA-NIPU 필름을 각각 합성하였다. 합성한 샘플은 FTIR과 NMR을 이용해 화학구조를 분석하고 UTM, TGA를 이용하여 기계적, 열적 특성을 평가하였다.
HMDA를 사용한 HMDA-NIPU는 높은 인장강도를 나타내었는데, 이는 과량의 아민이 NIPU 내 우레탄기 및 에스테르기와 추가 반응하여 우레아 혹은 아미드 결합을 형성하기 때문이다. 합성된 피마자유 기반 NIPU 필름은 소수성을 가짐을 확인하였으며 초기 분해온도가 287 ℃ 이상인 내열성을 가짐을 TGA로 확인하였다.
피마자유만을 사용한 폴리우레탄은 최대 98°의 접촉각과 0.3 MPa의 인장 강도, 29.1%의 연신율을 보이는 반면,32 본 연구에서 합성된 피마자유 기반 NIPU의 경우에는 최대 109.42°의 접촉각과 3.95 MPa의 인장 강도로 방수재 혹은 코팅 등에 적용될 수 있을 것으로 예상된다.
This Article2025; 49(4): 444-449
Published online Jul 25, 2025
Services
Correspondence toDepartment of Chemical Engineering, Kyonggi Unviersity, 154-42, Gwanggyosan-ro, Yeontong-gu, Suwon 16227, Korea