
Pan Geon Park# , Su-Jin Woo# , Jae Woo Kim*, and Young-Jin Kim† 
Department of Advanced Materials and Chemical Engineering, Daegu Catholic University, Gyeongsan 38430, Korea
*Department of Biomedical Engineering, Daegu Catholic University, Gyeongsan 38430, Korea
대구가톨릭대학교 신소재화학공학과, *대구가톨릭대학교 의료공학과
Reproduction, stored in a retrieval system, or transmitted in any form of any part of this publication is permitted only by written permission from the Polymer Society of Korea.
Temporary crowns fabricated using 3D printing technology have attracted great attention in provisional crown restoration applications because of their superior mechanical properties. In this study, we prepared methacrylic group-introduced barium aluminum borosilicate glass (Ba-glass) (MPS Ba-glass) particles via a simple surface modification. In addition, dual (light and thermal) curing system was developed for enhancing mechanical strength and cytotoxicity of composite temporary crowns by improving degree of conversion. The prepared organic-inorganic composite temporary crown (MBG30B) exhibited significantly increased degree of conversion compared to temporary crowns fabricated under light curing system, leading to improving mechanical strength and cytotoxicity.
3D 프린팅 기술을 이용하여 제조된 임시치아는 우수한 기계적 특성을 보이므로 장기간 사용해야 하는 임시치아나 영구치아 보철물로 최근 많은 관심을 받고 있다. 본 연구에서는 임시치아의 기계적 강도를 높이기 위해서 바륨 알루미늄 보로실리케이트 글라스(Ba-glass) 입자의 표면에 공유결합이 가능한 메타크릴기가 도입된 MPS Ba-glass 입자를 제조하였다. 또한 중합전환율을 높여 임시치아의 세포독성뿐만 아니라 기계적 강도를 개선하기 위해서 광경화와 열경화를 이용하는 이중경화시스템을 개발하였다. 이들 방법에 의해서 제조된 유무기 복합 임시치아(MBG30B)는 광경화 단독으로 제조한 임시치아 대비 높은 중합전환율을 보였고, 이로 인해 향상된 기계적 강도와 세포독성을 보였다.
Methacrylic group-introduced Ba-glass (MPS Ba-glass) particles were prepared via a simple surface modification. In addition, dual (light and thermal) curing system was developed for enhancing mechanical strength and cytotoxicity of composite temporary crowns by improving degree of conversion. The prepared organic-inorganic composite temporary crown (MBG30B) exhibited significantly improved mechanical strength and cytotoxicity.

Keywords: 3D printing, dual curing system, temporary crown, mechanical strength, cytotoxicity.
이 결과물은 2023년도 대구가톨릭대학교 학술연구비 지원에 의한 것임.
저자들은 이행상충이 없음을 선언합니다.
임시치아는 영구치아인 최종 보철물을 제작하는 동안 변형과 자극 및 세균의 침입으로부터 지대치(abutment)를 보호하고 치주조직의 손상을 방지해 주면서 주변 치아와의 간격을 일정하게 유지시키기 위해서 사용하는 것을 목적으로 한다.1,2 임시치아의 경우 구강 내에서 짧게는 며칠을 사용하고 제거되지만 임플란트 수술 후에 사용되는 임시치아의 경우 최대 6개월까지 구강 내에서 사용되고 있다. 영구치아 보철물의 경우 대부분 금속이나 세라믹으로 제조되지만 임시치아는 아크릴 레진으로 제조되는 것이 일반적이며 제작하는 방법은 크게 두 가지로 분류된
다. 첫번째 방법은 환자의 구강 내에서 치아에 직접 레진을 이용하여 수복하는 방법이고, 두번째 방법은 몰딩법을 이용하여 인공치아를 제조하여 사용하는 방법이다.3,4 그러나 이러한 방법으로 제작되어진 인공치아의 경우 환자의 구강 내에 사용되기 전까지 여러 차례의 미세 조절 과정을 거쳐야 하는 것과 같이 제작 방법이 복잡하여 많은 노력과 시간을 투자해야 한다는 단점을 가지고 있다.
최근 디지털 디자인과 제조법의 발전이 임시치아의 제조 방법에 변화를 주어 전통적인 몰딩법을 대신해서 다양한 구강 스캐너가 정확한 디지털 치과 교정용 데이터를 얻기 위해서 사용되고 있다.2,5,6 즉 치과용 computer aided design/computer aided manufacturing(CAD/CAM)을 활용하여 임시치아를 제작하는 기술이 빠른 속도로 발전하고 있으며, 특히 3D 프린팅 기술을 이용한 임시치아의 제작 방식이 주목을 받고 있다.7-9
고분자 또는 고분자 복합체를 이용한 치과용 보철물(prosthesis)을 제작하기 위한 3D 프린팅 방식으로는 fused deposition modeling(FDM), stereolithography apparatus(SLA) 및 digital light processing(DLP) 방법으로 크게 나누어 진다.2,8 그 중에서도 정밀도가 높아 치과용 임시치아의 제작에 많이 사용되는 방식이 SLA와 DLP 방식이다. 이들 프린팅 방식은 광경화성 액상 수지에 자외선을 조사하여 광경화반응을 시키면서 적층하는 방식으로 액상 수지가 적층되면서 광경화가 진행되므로 최종 보철물의 출력이 비교적 정밀하고 표면 조도가 부드럽게 출력되는 장점을 보이고 있다. 이러한 이유로 인해서 최근 SLA 타입의 프린터가 치과용으로 많이 사용되고 있으나 SLA 타입은 점(point) 단위로 매우 좁은 영역을 광경화시키는 방식으로 제작 속도가 느린 단점이 있다.9 따라서 이러한 제작 속도 문제를 해결하기 위해서 더 넓은 영역인 층(layer) 단위를 광경화시키는 DLP 방식이 도입되었으며, 한 번의 조사로 층 단위를 적층할 수 있기 때문에 제작 시간을 단축시킬 수 있다는 장점은 있으나 과량으로 사용된 액상 레진을 세척하여 제거해야 하며 기계적 강도가 다소 떨어질 수 있다는 문제점도 있다.10-12
임시치아를 3D 프린팅으로 제조 가능한 레진들이 최근 많이 소개되고 있으며, 또한 이들 기술을 이용하여 제조된 임시치아가 우수한 기계적 특성과 파괴 강도(fracture strength)를 보이므로 장기간 사용해야 하는 임시치아나 영구치아로도 많은 관심을 받고 있다.13,14 그러나 아직까지는 3D 프린팅이 가능한 재료가 많지 않고 최종 보철물의 세포독성도 문제로 제기되고 있다. 임시치아의 경우 구강 내에서 장시간 고정되어 사용되므로 주위 조직과의 상호작용을 충분히 검토하여야 한다. 임시치아의 경우 주로 3D 프린팅 중에 자외선을 이용한 광경화법으로 제조되므로 단량체의 고분자로의 중합전환율(degree of conversion)이 세포독성에 영향을 미치게 된다. 즉 광경화 반응 후에 임시치아 최종물에 잔존하는 단량체가 타액(saliva)에 의해 녹아 나와서 구강 점막의 세포에 영향을 주는 것이다.
임시치아로 사용되기 위해서는 최종 보철물이 높은 기계적강도와 낮은 세포독성을 보이고, 또한 높은 제조 정밀도를 보여야 한다. 따라서 본 연구에서는 임시치아의 기계적 강도를 높이기 위해서 사용한 바륨 알루미늄 보로실리케이트 글라스(Ba-glass) 입자의 액상 레진 단량체와의 상용성 개선과 동시에 자외선 또는 열에 대한 반응성이 있는 메타크릴기를 부여하기 위한 표면 개질법을 개발하였다. 또한 중합전환율을 높여 임시치아의 세포독성뿐만 아니라 기계적 특성을 개선하기 위해서 광경화와 열경화를 순차적으로 이용하는 이중경화(dual curing) 시스템을 개발하였다. 제조된 임시치아 최종 보철물의 표면 형태, 중합전환율, 기계적 강도 변화에 대해서 조사하였고, 임시치아 제조방법이 세포독성에 미치는 영향을 평가하였다.
시약 및 재료. Bisphenol A glycerolate dimethacrylate(BIS-GMA), bisphenol A ethoxylate dimethacrylate(BIS-EMA), trimethylolpropane trimethacrylate(TMPTMA), triethylene glycol dimethacrylate(TEGDMA), 0.1 N hydrochloric acid(HCl), dimethyl sulfoxide(DMSO), 3-(methacryloxypropyl)trimethoxysilane (MPS), benzoyl peroxide(BPO)와 3-(4,5-dimethylthiazol-2-yl)-2,5-diphenyltetrazoliumbromide(MTT)는 Sigma-Aldrich Co.(USA) 제품을 구입하여 사용하였다. 광개시제인 bis(2,4,6-trimethoxybenzoyl) phenylphosphine oxide(Omnirad 819)는 IGM Resins(Netherland)에서 구입하였고, barium aluminum borosilicate glass(Ba-glass, Al2O3(1-10 wt%)-B2O3(1-10 wt%)-BaO(10-50 wt%)-SiO2(>50 wt%), GM27884) 입자는 SCHOTT AG(Germany)에서 구입하였다. RPMI-1640, fetal bovine serum(FBS), penicillin-streptomycin과 Dulbecco’s phosphate buffered saline(DPBS, pH 7.4)은 Gibco BRL(USA)에서 구입하였다. Mouse fibroblast cell line(L-929)은 한국세포주은행(한국)에서 구입하였다. 그 외의 사용된 시약과 용매는 일반 회사에서 구입하였으며, 추가적인 정제 과정 없이 사용하였다.
Ba-glass 입자 표면 개질. Ba-glass 입자의 액상 레진 단량체와의 상용성을 개선하고 자외선 또는 열에 의한 공유결합 반응성을 부여하기 위해서 Ba-glass 입자의 표면에 메타크릴기를 도입하였다. 이를 위해서 먼저 10 w/v%의 MPS가 녹아있는 에탄올 용액 30 mL에 0.1N HCl 산촉매를 가하여 pH를 5로 맞추어주고 50 ℃에서 6시간 교반하면서 MPS의 가수분해 반응을 진행하였다. 계속해서, Ba-glass(3 g) 입자를 추가하여 12시간 동안 표면을 개질시키고 원심분리와 세척 후 진공건조를 하였고, 최종생성물(MPS Ba-glass)은 150 ℃에서 1시간 열처리를 통해서 얻었다. 표면 개질된 MPS Ba-glass 입자의 표면 변화는 scanning electron microscope(SEM, Mira III, TESCAN, Czech Republic)를 이용하여 관찰하였다. SEM을 이용하여 표면을 관찰하기 전에 백금(Pt)을 이용하여 입자 표면을 60초 동안 코팅하여 관찰하였다. SEM 분석에 사용한 동일한 샘플을 이용하여 입자의 표면 원소분석을 energy disperse X-ray spectroscopy(EDX)를 이용하여 진행하였다. 또한 표면 개질된 MPS Ba-glass 입자의 표면 화학구조는 attenuated total reflectance Fourier transform infrared(ATR-FTIR, ALPHA, Bruker Optics, USA)를 이용하여 분석하였다
유무기 복합 임시치아 제조. 유무기 복합 임시치아의 제조는 DLP 타입의 3D 프린터(T7D-120, VELTZ, 한국)와 열경화 진행을 위한 건조기(OV-11, 제이오텍, 한국)를 이용하여 제조하였다. 3D 프린팅을 진행하기 전에 액상 상태의 레진 단량체인 BIS-GMA, BIS-EMA, TMPTMA 및 TEGDMA를 무게 비율로 1:1:1:1로 섞어서 상온에서 빛을 차단한 암실에서 6시간 이상 교반하여 혼합액을 만들어주고 여기에 광개시제인 Omnirad 819를 액상 혼합액의 무게 대비 2 wt%, 열개시제인 BPO를 액상 혼합액 무게 대비 1 wt% 및 MPS Ba-glass 입자를 액상 혼합액 무게 대비 30 wt% 추가하여 암실에서 12시간 이상 교반하여 3D 프린팅용 유무기 복합 레진 단량체 혼합액을 제조하였다. 이들 레진 단량체 혼합액을 3D 프린터 챔버 내부에 있는 플레이트에 채우고 100 μm 두께로 적층하면서 30초간 405 nm 파장의 자외선을 조사하여 임시치아를 제조하였고, 제조 완료 후에 다시 자외선을 20분간 조사하여 추가적인 반응을 진행하였다. 또한 중합전환율 개선을 위해서 제조된 임시치아를 75 ℃에서 60분간 열경화 반응을 진행하여 최종 임시치아의 제조를 완료하였다.
유무기 복합 임시치아 특성 분석. 유무기 복합 임시치아의 표면 특성은 SEM을 이용하여 관찰하였고, 임시치아의 표면 원소분석은 EDX를 이용하여 진행하였다. 또한 유무기 복합 임시치아의 표면 화학구조 및 중합전환율은 ATR-FTIR을 이용하여 분석하였고, 결정구조의 변화는 high resolution X-ray diffractometer(XRD, D/MAX-2500V/PC, Rigaku, Japan)를 이용하여 분석하였다. ATR-FTIR은 분광 해상도(spectral resolution)를 4 cm-1로 고정하고 파수(wavenumber)를 400-4000 cm-1 범위에서 조사하였다. 유무기 복합 임시치아의 기계적 특성은 10 kN 용량의 load cell이 장착되어 있는 인장시험기(AGS-X, Shimadzu, Japan)를 이용하여 굴곡강도(flexural strength)를 측정하여 평가하였다. 2×2×25 mm3 크기의 시료를 10회 반복 측정하여 평균값을 사용하였으며 하중 속도는 0.75 mm/min으로 고정하여 측정하였고, 시편이 부러질 때의 최대 하중을 측정하여 굴곡강도를 계산하였다. 유무기 복합 임시치아의 열적 특성은 thermogravimetric analysis(TGA, Q500, TA Instruments, USA)를 이용하여 질소기류 하에서 5 ℃/min의 승온속도로 상온에서 800 ℃까지의 범위 내에서 측정하였다.
세포독성 평가. 임시치아의 구강 내에서의 사용 가능성을 알아보기 위해서 ISO 10993-5:2009에 의거하여 세포독성을 평가하였다. 고압증기멸균법으로 멸균 처리된 임시치아를 FBS를 포함하지 않는 RPMI-1640에서 0.2 g/mL의 농도로 37 ℃에서 72시간 용출하였다. 세포배양용 24-well plate에 L-929 세포를 4×104 cells/well로 파종하고 10% FBS와 0.5% penicillin-streptomycin을 함유하고 있는 RPMI-1640을 사용하여 48시간 배양한 후 용출액으로 교환하여 추가 24시간 배양하였다. 그 후 용출액에서의 세포독성을 MTT assay를 이용하여 분석하였다. MTT 용액을 각각의 용출액에서 배양된 세포에 넣어 주고 4시간 추가 배양하였다. 상층액을 제거하고 침전물을 DMSO로 용해시켜서 마이크로플레이트 리더기(OPSYS-MR, Dynex Technology Inc., USA)를 이용하여 570 nm에서의 흡광도를 측정하여 평가하였다. 또한 MTT assay에서 사용된 것과 동일한 방법으로 배양한 세포를 이용하여 4% paraformaldehyde 용액으로 고정화 시킨 후 세포의 생존율을 광학현미경(Eclipse TS100, Nikon, Japan)을 이용하여 관찰하였다.
통계처리. 모든 실험 결과는 최소 5회 이상을 측정하여 평균±표준오차로 나타내었고, 2개의 서로 다른 샘플의 통계적 비교는 one-way analysis of variance로 분석하고 SigmaPlot 13.0(Systat Software Inc., USA)을 이용하여 Turkey’s test를 진행하였다. 대조군에 대한 샘플의 유의한 차이는 *p < 0.05의 수준에서 분석하였다.
표면 개질된 Ba-glass 입자의 특성 분석. Ba-glass는 긴 음이온 구조를 이루고 있고, 기계적 특성이 우수하며 생체활성 및 생체친화성을 가지고 있을 뿐만 아니라 방사능비투과성의 특성도 가지고 있어 다양한 분야에서 사용되고 있다.15,16 특히 치과재료분야에서는 복합 레진의 투명도 조절제 및 무기 충진재로서 Ba-glass를 사용하고 있으나 기계적 강도가 떨어지기 때문에 다른 지르코니아 또는 실리카와 혼합하여 사용하는 것이 일반적이고 단독으로 사용할 경우는 매우 과량으로 사용하여야 한다.17 그러나 Ba-glass를 과량으로 사용하여 복합 레진을 제조할 경우 유기물과의 상분리에 의한 기계적 특성 저하의 문제를 유발한다.
따라서 복합 레진의 기계적 강도를 높이기 위해 Ba-glass 입자의 표면을 개질하였다. 즉 Ba-glass 입자가 액상 레진 단량체와 공유결합을 형성할 수 있도록 입자의 표면에 메타크릴기를 도입하였고, 이들 유기그룹의 도입에 의해서 액상 레진 단량체와 입자의 상분리 현상도 개선시키고자 하였다. 표면 개질된 MPS Ba-glass 입자의 표면 형상을 SEM을 이용하여 관찰한 결과 Figure 1에서 볼 수 있는 것처럼 평균 크기가 표면 개질 전과 거의 유사한 200-300 nm 전후의 입자 형상을 보이고 표면 개질에 따른 입자의 집합체(aggregates) 형성도 관찰되지 않았다.
표면 개질된 MPS Ba-glass 입자의 화학적 구조변화를 ATR-FTIR을 이용하여 400-4000 cm-1 범위에서 분석하였다. Figure 2(a)에서 볼 수 있는 것처럼 모든 샘플에서 Si-O-Si 결합의 asymmetric과 symmetric stretching vibration에 기인하는 특성 피크가 1055와 776 cm-1에서 확인되었고, Si-O-B 및 O-Si-O의 bending vibration에 기인하는 피크가 692 cm-1 부근에서 관찰되었다.18,19 또한 Si-O-Si bending vibration과 Ba cation vibration에 기인하는 특성 피크가 453 cm-1에서 관찰되었다. 특히 표면 개질된 MPS Ba-glass 입자의 경우 MPS의 도입에 따라 1720 및 1636 cm-1에서 C=O 및 C=C의 stretching에 기인하는 흡수 피크가 확인되었고, 3444와 1422 cm-1 부근에서 OH stretching 및 CH2 bending에 기인하는 피크가 관찰되었다.
Ba-glass 입자의 표면을 MPS를 이용하여 개질한 후 입자 표면의 원소조성 변화를 EDX를 이용하여 조사하였다. 그 결과 Figure 2(b)에서 볼 수 있는 것처럼 Ba-glass 입자의 경우 바륨(Ba), 규소(Si), 알루미늄(Al), 산소(O) 및 붕소(B)에 기인하는 피크가 관찰되었고, MPS Ba-glass 입자의 경우 MPS의 도입에 따라 탄소(C)에 기인하는 피크가 증가하는 것을 확인하였다.
Ba-glass 입자 함유 유무기 복합 임시치아 제조 및 특성 분석. 이중경화 시스템을 이용한 유무기 복합 임시치아의 제조에 최적의 표면 개질된 MPS Ba-glass 입자 사용량을 결정하기 위해서 먼저 표면 개질하지 않은 Ba-glass 입자를 이용하여 함량 변화에 따른 유무기 복합 임시치아의 표면형태 및 특성 변화에 대해서 조사하였다. 유무기 복합 임시치아는 액상 상태의 레진 단량체, Ba-glass 입자 및 광개시제의 혼합액을 이용하여 3D 프린팅 후에 자외선을 조사하여 광경화를 진행함에 의해서 제조하였다. 이 때 혼합액에 사용된 Ba-glass 입자의 함량은 액상 레진 단량체 혼합액 무게 대비 0(BG0), 10(BG10), 20(BG20), 30(BG30) 및 40 wt%(BG40)이다. 제조된 유무기 복합 임시치아의 표면과 단면의 형상을 SEM을 이용하여 관찰한 결과, Figure 3에서 볼 수 있는 것처럼 Ba-glass를 함유하지 않은 임시치아(BG0)는 표면과 단면이 매우 매끄러운 형상을 보였으나 Ba-glass 입자의 도입에 따라 임시치아의 표면과 단면이 거칠어 지는 것을 확인할 수 있었다. 또한 입자의 함량이 증가할수록 임시치아 표면과 단면의 거칠기도 증가하는 것을 알 수 있었다.
Ba-glass 입자의 사용량에 따른 유무기 복합 임시치아의 표면 특성 변화를 ATR-FTIR을 이용하여 분석하였다. 모든 유무기 복합 임시치아에서 레진 고분자의 C-H stretching vibration에 기인하는 특성피크가 2945 및 2866 cm-1에서 확인되었고, C=O stretching vibration에 기인하는 피크가 1720 cm-1에서 관찰되었다(Figure 4).20,21 또한 aliphatic C=C stretching과 aromatic C=C 및 C-C stretching에 해당하는 피크가 1636, 1610, 1508 및 1446 cm-1에서 관찰되었고, C-O-C stretching에 해당하는 피크가 1094 cm-1에서 관찰되었다. 특히 Ba-glass 입자가 도입됨에 의해서 776, 692 및 453 cm-1에서 Ba-glass에 기인하는 특성피크가 확인되었다.18,19
유무기 복합 임시치아의 기계적 강도를 향상시키기 위해서는 무기물인 Ba-glass 입자의 사용량과 유기물인 레진의 중합전환율이 매우 중요한 변수로 작용하게 된다.20,21 따라서 유무기 복합 임시치아의 제조를 위한 최적의 무기물 사용량을 알아보기 위해서 Ba-glass 사용량에 따른 유무기 복합 임시치아에서 레진고분자의 중합전환율을 ATR-FTIR 스펙트럼 변화를 이용하여 계산하였다(Figure 5(a)). 즉 광중합 반응 이후에도 변화하지 않는 1720 cm-1의 C=O 흡수 피크와 광중합 반응 이후 줄어드는 1636 cm-1의 C=C 이중결합 흡수 피크를 이용하였고, 자외선을 조사하지 않은 단량체와 자외선 조사 이후에 고분자로 전환되는 중합전환율을 식 (1)을 이용하여 계산하였다. 임시치아에서 C=C 이중결합이 감소할수록 이에 기인하는 ATR-FTIR 흡수 피크의 면적이 감소하게 되고 결과적으로 중합전환율과도 직접적으로 비례하게 된다. 따라서 자외선 조사에 의해 변하지 않는 C=O 피크의 면적과 자외선 조사에 의해 변하는 C=C 피크의 면적비로 계산할 수 있다.22,23

자외선 조사에 의한 중합전환율 변화 계산 결과를 Figure 5(b)에 나타내었다. Ba-glass 입자를 함유하지 않은 BG0 임시치아의 경우 중합전환율이 74.7%였으나 Ba-glass 입자의 함량이 높아질수록 중합전환율은 줄어드는 경향을 보였으며 Ba-glass 입자를 40 wt% 함유하고 있는 BG40의 경우 63.7%의 중합전환율을 보였다. 이는 유무기 복합 임시치아에서 Ba-glass 입자의 양이 증가할수록 광투과도가 떨어지고 고체 성분의 양이 많아지며 점도가 증가하여 레진 내 반응기의 이동도가 감소하여 레진의 반응속도가 느려지는 것에 기인한다.24
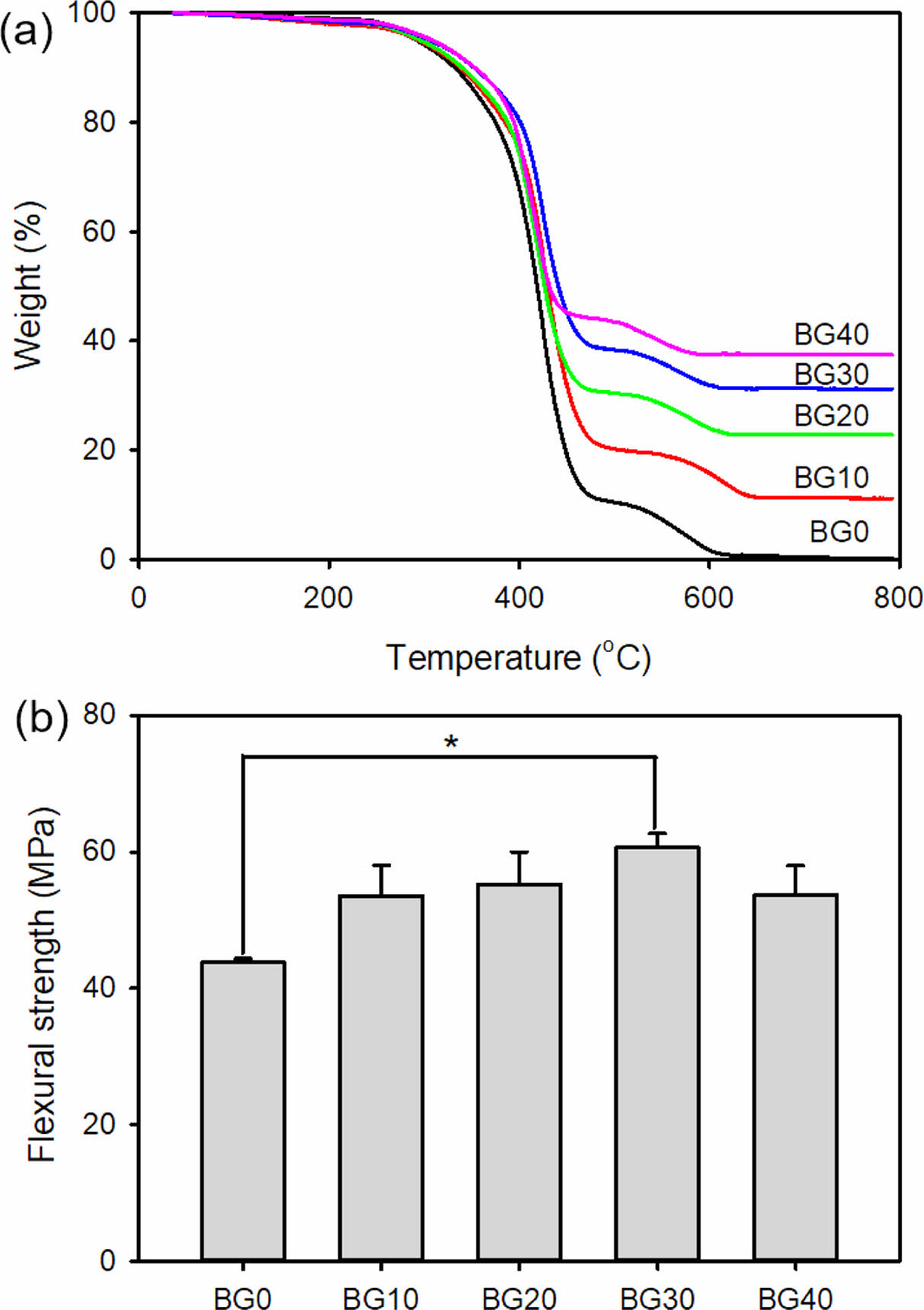
무기물인 Ba-glass 입자의 사용은 최종 유무기 복합 임시치아의 열안정성 및 기계적 특성에 많은 영향을 줄 수 있으므로 Ba-glass 입자의 함유량에 따른 유무기 복합 임시치아의 열안정성 및 기계적 특성 변화를 분석하였다. 먼저 TGA를 이용하여 유무기 복합 임시치아의 열안정성을 분석한 결과 Figure 6(a)에서 볼 수 있는 것처럼 유무기 복합 임시치아의 열안정성은 Ba-glass 입자를 사용함에 의해서 개선이 되었다. 유무기 복합 임시치아의 5 wt%가 분해되는 온도의 경우 Ba-glass 입자를 사용하지 않은 BG0의 경우 292 ℃였으나 Ba-glass 입자를 40 wt% 함유하는 BG40의 경우 309 ℃를 보였다. 또한 800 ℃에서의 유무기 복합 임시치아의 무게 손실이 Ba-glass 입자의 사용량 증가에 따라 99.7%에서 62.6%로 감소하였다. 이들 결과는 레진 고분자와 Ba-glass 입자 사이의 상호작용에 의해서 유무기 복합 임시치아의 열안정성이 개선되었음을 의미한다.25,26
치아의 경우 음식물의 저작(mastication), 양치질 등과 같은 다양한 이유로 침식 및 마모가 진행되기 쉬우므로 자연치아뿐만 아니라 임시치아도 기계적 강도가 우수하여야 한다.24-26 그러나 DLP 방식으로 임시치아를 제조할 경우 과량으로 사용한 액체 레진에 의해서 기계적 강도가 다소 부족하다. 따라서 이를 극복하기 위해서 본 연구에서는 임시치아의 기계적 강도 향상을 위해서 Ba-glass 입자를 함유하는 유무기 복합 임시치아를 제조하였고 이들의 기계적 강도 변화를 확인하기 위해서 UTM을 이용하여 굴곡강도를 측정하였다. 그 결과 Figure 6(b)에서 볼 수 있는 것처럼 Ba-glass 입자를 액상 레진 단량체 혼합액 무게 대비 30 wt%까지 사용할 경우 Ba-glass 입자의 사용량이 증가할수록 굴곡강도도 증가하였으나 Ba-glass 입자를 40 wt% 사용할 경우 굴곡강도가 오히려 감소함을 확인할 수 있었다. 이는 Ba-glass 입자의 사용이 유무기 복합 임시치아의 기계적 강도 향상에 도움이 될 수 있으나, 한편으로는 Ba-glass 입자의 사용이 유무기 복합 임시치아의 중합전환율을 감소시키기 때문에 기계적 강도가 줄어들 가능성도 있다는 것을 보여 주는 것이다. 따라서 유무기 복합 임시치아가 최적의 기계적 강도를 보이게 하기 위해서는 Ba-glass 입자의 사용량과 중합전환율을 모두 고려하여 결정하여야 한다. 따라서 본 연구의 최종 목표인 이중경화 시스템을 이용한 유무기 복합 임시치아의 개발에는 Ba-glass 입자의 사용량을 가장 높은 굴곡강도를 보이는 30 wt%로 고정하였다.
MPS Ba-glass 입자 함유 유무기 복합 임시치아 제조 및 특성 분석. Ba-glass 입자의 액상 레진 단량체와의 상용성을 개선하고 자외선 및 열에 의한 공유결합 반응성을 부여하기 위해서 Ba-glass 입자 표면에 메타크릴기를 도입하여 표면 개질된 MPS Ba-glass를 합성하였고, 이들 입자를 이중경화 시스템을 이용한 유무기 복합 임시치아의 제조에 사용하였다. 표면 개질된 MPS Ba-glass 입자를 액상 레진 단량체 혼합액 무게 대비 30 wt% 사용하고 자외선 조사에 의한 광경화로 제조한 유무기 복합 임시치아를 MBG30이라 명명하고, 자외선 및 열을 이용한 이중경화 시스템으로 제조한 유무기 복합 임시치아를 MBG30B로 명명하였다. 제조된 유무기 복합 임시치아의 표면과 단면의 형상을 SEM을 이용하여 관찰한 결과 Figure 7에서 볼 수 있는 것처럼 표면 개질되지 않은 Ba-glass를 함유하는 유무기 복합 임시치아와 표면 개질된 MPS Ba-glass 입자를 함유하는 유무기 복합 임시치아는 입자의 도입에 따라 표면과 단면이 거친 형상을 보이나 입자의 종류에 따른 표면과 단면의 거칠기 차이는 관찰되지 않았다. 또한 경화법을 변경하여도 표면 및 단면의 형상에는 거의 변화가 없다는 것이 확인되었다.
표면 개질된 MPS Ba-glass 입자의 사용에 따른 유무기 복합 임시치아의 표면 원소조성 변화를 EDX를 이용하여 분석하였다. 그 결과 무기물인 Ba-glass 입자를 전혀 함유하지 않은 임시치아인 BG0의 경우 유기물인 레진 고분자의 탄소(C)와 산소(O)에 기인하는 피크가 관찰되었으나 Ba-glass 또는 MPS Ba-glass 입자를 사용한 임시치아에서는 이들 무기물 입자의 사용에 따른 알루미늄(Al), 실리콘(Si) 및 바륨(Ba)에 기인하는 피크가 새로이 관찰되었고 보론(B)에 기인하는 피크는 탄소 피크와 중첩되어 나타났다(Figure 8(a)). 그러나 Ba-glass 입자의 표면 개질에 사용된 MPS의 경우 탄소, 산소, 실리콘 및 수소 원소 만을 가지고 있으므로 입자의 표면 개질 유무에 따른 피크의 변화는 관찰되지 않았다.
Ba-glass 및 MPS Ba-glass 입자의 첨가가 유무기 복합 임시치아의 결정구조 및 결정화도에 미치는 영향을 XRD를 이용하여 조사하였다. 분석 결과 Figure 8(b)에서 볼 수 있는 것처럼 BG0 임시치아는 넓고 완만한 회절(diffraction) 피크를 보였고 이는 일반적인 비결정구조(amorphous structure)의 XRD 패턴을 나타내는 것이다. 그러나 Ba-glass 또는 MPS Ba-glass 입자를 첨가함에 의해서 유무기 복합 임시치아는 BaAl2Si2O8(monoclinic), α-BaAl2Si2O8(hexagonal) 및 Ba2Si3O8 (monoclinic)의 JCPDS database(ICDD card numbers 38-1450, 88-1048 및 06-0206)와 잘 일치하는 전형적인 XRD 패턴을 보였다.27,28 그러나 MPS을 이용한 Ba-glass 입자의 표면 개질이 유무기 복합 임시치아의 결정구조 변화에 미치는 영향은 관찰되지 않았다.
메타크릴기를 표면에 도입함에 의해서 자외선 및 열에 대한 반응성을 부여된 MPS Ba-glass 입자와 이중경화 시스템이 제조된 유무기 복합 임시치아의 중합전환율과 굴곡강도에 미치는 영향을 조사하고 그 결과를 Figure 9에 나타내었다. Figure 9(a)에서 볼 수 있는 것처럼 표면 개질된 MPS Ba-glass 입자를 사용하고 광경화 단독으로 제조한 유무기 복합 임시치아인 MBG30은 Ba-glass 입자를 사용하여 제조한 유무기 복합 임시치아인 BG30보다 높은 중합전환율을 보였고, 이는 입자 표면에 도입된 MPS가 광경화 반응에 참여하여 전체 반응의 중합전환율이 높아진 것으로 판단되어진다. 특히 표면개질된 MPS Ba-glass 입자와 광경화 및 열경화의 이중경화 시스템을 이용하여 제조한 유무기 복합 임시치아인 MBG30B는 74.0%로 Ba-glass 입자를 사용하지 않은 BG0와 유사한 중합전환율을 보였다. 또한 표면 개질된 MPS Ba-glass 입자의 사용과 이중경화 시스템의 도입이 유무기 복합 임시치아의 기계적 강도에 미치는 영향을 조사한 결과 MBG30B 임시치아의 굴곡강도는 89.2 ± 5.3 MPa로 BG0 임시치아(43.8 ± 0.5 MPa) 대비 약 2배 및 BG30 임시치아(60.6 ± 2.1 MPa) 대비 약 1.4배의 굴곡강도 향상을 보였다(Figure 9(b)). 이들 결과로부터 표면 개질된 MPS Ba-glass 입자의 사용과 이중경화 시스템의 도입은 유무기 복합 임시치아의 중합전환율 및 기계적 특성 향상에 많은 영향을 준다는 것이 확인되었다.
세포독성 평가. 가장 높은 중합전환율과 굴곡강도를 보이는 유무기 복합 임시치아인 MBG30B의 제조방법으로 만들어진 임시치아(브릿지(bridge)와 크라운(crown))의 디지털사진을 Figure 10에 나타내었다. Figure 10에서 볼 수 있는 것처럼 MBG30B의 제조방법으로 만들어진 임시치아의 경우 영구치아와 거의 유사한 형태를 보임을 알 수 있었다. 따라서 이들 임시치아를 실제 임상에서 사용하기 위해서는 구강내에서의 독성 문제가 해결되어야 한다. 따라서 이를 확인하기 위해서 제조된 임시치아의 용출액을 이용하여 세포독성 평가를 진행하였고 그 결과 Figure 11에서 나타낸 것처럼 용출액을 사용하지 않고 배양한 대조군(control) 대비 모든 샘플에서 85% 이상의 세포 생존율을 보였다. 특히 Ba-glass 입자를 사용하고 광경화 단독으로 제조한 유무기 복합 임시치아인 BG30은 86.9 ± 2.1%의 세포 생존율을 보였으나 표면 개질된 MPS Ba-glass 입자를 사용하고 광경화/열경화 이중경화 시스템으로 제조한 유무기 복합 임시치아인 MBG30B는 92.7 ± 2.1%의 향상된 세포 생존율을 보였다. 이들 결과는 공유결합 반응성이 있는 메타크릴기가 도입된 MPS Ba-glass 입자를 사용하고 이중경화 시스템을 적용함에 의해서 유무기 복합 임시치아의 중합전환율이 높아졌고 이로 인해서 독성이 있는 미반응 단량체가 줄어들어 임시치아의 세포독성이 개선된 것으로 판단되어진다.
|
Figure 1 SEM micrographs: (a) Ba-glass; (b) MPS Ba-glass particles. |
|
Figure 2 (a) ATR-FTIR; (b) EDX spectra of Ba-glass and MPS Baglass particles. |
|
Figure 3 SEM micrographs: (a) surface; (b) cross-section of composite temporary crowns containing different contents of Ba-glass particles. |
|
Figure 4 ATR-FTIR spectra of composite temporary crowns containing different contents of Ba-glass particles. |
|
Figure 5 (a) ATR-FTIR spectral change; (b) degree of conversion of composite temporary crowns containing different contents of Baglass particles. |
|
Figure 6 (a) TGA curves; (b) flexural strengths of composite temporary crowns containing different contents of Ba-glass particles. |
|
Figure 7 SEM micrographs: (a) surface; (b) cross-section of composite temporary crowns containing Ba-glass or MPS Ba-glass particles. |
|
Figure 8 (a) EDX; (b) XRD spectra of composite temporary crowns containing Ba-glass or MPS Ba-glass particles. |
|
Figure 9 (a) Degree of conversion; (b) flexural strengths of composite temporary crowns containing different contents of Ba-glass or MPS Ba-glass particles. |
|
Figure 10 Digital images: (a) temporary bridge; (b) crown containing MPS Ba-glass particles fabricated via a 3D printing method and dual curing system. |
|
Figure 11 Proliferation and morphology of the L-929 cells cultured in the presence of extracts of composite crowns and bridges: (a) Relative cell viability determined using the MTT assay; (b) morphology of the L-929 cells after culturing for 72 hours. |
최근 디지털 디자인과 제조법의 발전으로 치과용 CAD/CAM 시스템과 3D 프린팅 기술을 이용한 임시치아의 제작 방식이 주목을 받고 있다. 다양한 3D 프린팅 기술 중에서 치과분야에서는 임시치아를 제조하기 위해서 DLP 방식을 가장 많이 사용하고 있다. 그러나 이 방식은 한 번의 조사로 층 단위를 적층할 수 있기 때문에 제작 시간을 단축시킬 수 있고 정밀도가 높다는 장점은 있으나 과량으로 사용된 액상 레진 단량체에 의한 독성 문제와 기계적 강도가 다소 떨어질 수 있다는 문제점도 있다. 본 연구에서는 이러한 문제점을 해결하기 위해서 Ba-glass 입자의 액상 레진 단량체와의 상용성 개선과 동시에 자외선 또는 열에 의한 공유결합 반응성이 있는 메타크릴기를 도입하여 표면 개질된 MPS-Ba glass 입자를 합성하였다. 표면 개질된 반응성이 있는 입자를 이용하여 유무기 복합 임시치아의 중합전환율을 높임으로서 임시치아보철물의 세포독성뿐만 아니라 기계적 강도를 개선할 수 있는 광경화/열경화 이중경화 시스템을 개발하였다. 제조된 유무기 복합 임시치아는 표면 개질하지 않은 입자를 사용하여 제조한 임시치아 또는 표면 개질된 입자를 사용하였으나 광경화 단독으로 제조한 임시치아 대비 높은 중합전환율을 보였고, 이로 인해 기계적 강도와 세포독성도 개선되었다. 이들 결과로부터 표면 개질된 MPS Ba-glass 입자와 이중경화 시스템을 이용한 유무기 복합 임시치아의 제조는 CAD/CAM 시스템과 3D 프린팅 기술을 이용한 영구치아의 개발에도 많은 도움이 될 것으로 기대되어 진다.
This Article2025; 49(1): 131-140
Published online Jan 25, 2025
Services
Correspondence toDepartment of Advanced Materials and Chemical Engineering, Daegu Catholic University, Gyeongsan 38430, Korea