
Dongho Park# , Ju Hee Gu# , Baekseo Choi, Kyung-Hye Jung, and Yoon Soo Han† 
Department of Advanced Materials and Chemical Engineering, Daegu Catholic University, Gyeongbuk 38430, Korea
대구가톨릭대학교 신소재화학공학과
Reproduction, stored in a retrieval system, or transmitted in any form of any part of this publication is permitted only by written permission from the Polymer Society of Korea.
Ti3C2Tx MXene was synthesized by selective etching of Al layer in Ti3AlC2 MAX phase, and applied as catalyst for the regeneration of I ‾ /I3‾ redox mediator in dye-sensitized solar cells (DSSCs). Insulating poly(vinylidene fluoride) (PVdF), semiconducting poly(3-hexylthiophene) (P3HT), and electron-conductive poly(3,4-ethylenedioxythiophene): poly(styrenesulfonate) (PEDOT:PSS) as binder resins of Ti3C2Tx MXene catalyst were exploited, and their effects on the performance of DSSCs were investigated. A DSSC with the Ti3C2Tx MXene catalyst and insulating PVdF binder showed a power conversion efficiency (PCE) of 3.02% and fill factor (FF) of 27.45%. In the case of the semiconducting P3HT binder resin, PCE and FF were measured to be 3.46% and 29.33%, respectively. On the contrary, a 4.53% PCE and 40.47% FF were achieved in a DSSC, in which the electron-conductive PEDOT:PSS was applied as binder resin of Ti3C2Tx catalyst layer.
맥신 화합물인 Ti3C2Tx를 합성하였으며 염료감응형 태양전지용 촉매로 이용하였다. Ti3C2Tx 촉매층 형성을 위한바인더 수지로서 절연성의 poly(vinylidene fluoride)(PVdF), 반도체성의 poly(3-hexylthiophene)(P3HT) 및 전자전도성 poly(3,4-ethylenedioxythiophene):poly(styrenesulfonate)(PEDOT:PSS)를 사용하였으며, 태양전지 성능에 미치는 영향을 조사하였다. 바인더 수지로서 PVdF를 사용한 태양전지의 경우 3.02%의 전력변환효율과 27.45%의 충진율을 나타내었으며, P3HT의 경우, 태양전지 효율은 3.46% 및 충진율은 29.33%로 측정되었다. 반면에 전자전도성 PEDOT:PSS를 적용한 태양전지는 4.53%의 효율과 40.47%의 충진율을 나타내었으며, 절연성 및 반도체성 바인더 수지보다 높은 태양전지 성능을 보였다.
Synthesized Ti3C2Tx MXene was applied as catalyst for the regeneration of I‾ /I3‾ redox mediator in dye-sensitized solar cells (DSSCs). Insulating poly(vinylidene fluoride) (PVdF), semiconducting poly(3-hexylthiophene) (P3HT) and electron-conductive poly(3,4-ethylenedioxythiophene): poly(styrenesulfonate) (PEDOT:PSS) were applied as binder resins of Ti3C2Tx MXene catalyst layer. Much higher power conversion efficiency was achieved in a DSSC with electron-conductive PEDOT:PSS, compared to those of cells with PVdF or P3HT.

Keywords: Ti3C2Tx MXene, catalyst, dye-sensitized solar cell, binder resin, poly(3,4-ethylenedioxythiophene):poly (styrenesulfonate).
이 결과물은 2024년도 대구가톨릭대학교 학술연구비 지원에 의한 것임.
저자들은 이해상충이 없음을 선언합니다.
염료감응형 태양전지(dye-sensitized solar cell; DSSC)는 3세대 태양전지의 하나로서, 기존 무기반도체 기반의 태양전지에 비해 낮은 제조단가, 비진공 제조공정 및 낮은 독성 등의 장점으로1,2 다양
한 연구가 진행되었으며, 최근 15.2%의 효율이 발표되었다.3 또한, 일반적인 DSSC는 반투과성, 유연성 및 다양한 칼라로 구현될 수 있다는 측면에서 건물 일체형 태양전지로 많은 주목을 받고 있다.4,5 DSSC는 투명전극, TiO2, 염료로 이루어진 작업전극(working electrode), Pt 촉매와 투명전극으로 이루어진 상대전극(counter electrode) 및 이들 두 전극 사이에 위치하고 있는 I-/I3-계 액상 전해질로 구성되어 있다. 염료가 태양광을 흡수하면 염료 내의 전자가 여기되어 전자-정공쌍(electron-hole pair; exciton)을 형성(반응식 (1))시키며, 전자는 TiO2의 전도대로 주입(반응식 (2))된 후 이들 TiO2 층을 따라서 이동하여 투명전극에 수집된다. 수집된 전자는 외부회로를 통하여 상대전극에 도달한 후, 백금(Pt) 촉매작용에 의해 상대전극 부근에 존재하는 I3-를 환원(I- 생성)(반응식 (3))시킨다. 생성된 I-는 염료 부근으로 이동한 후 산화(I3- 생성) (반응식 (4))되면서 염료에 존재하는 정공에 전자를 제공하여 염료를 재생(반응식 (5))시킨다. 이러한 과정으로 외부회로에 전자의 흐름이 발생되고 광에너지가 전기에너지로 변환된다.6,7

외부회로를 이동해 온 전자와 전해질 내의 I3- 간의 반응 (반응식 (3))에서 촉매역할을 수행하는 Pt은 높은 촉매활성의 장점이 있지만, I-/I3-계 전해질에 의해 부식되어 PtI4 혹은 H2PtI6로 변질될 수 있는 문제점이 있으며,8,9 또한 가격이 비싼 단점이 있다. 이러한 Pt 촉매의 문제점을 해결하기 위하여 탄소소재, 합금, 고분자, 전이금속 화합물, 하이브리드 소재 등을 대체소재로 적용한 연구결과가 발표되고 있다.10 최근에는 Mn+1XnTx(여기서, n=1-3, M은 전이금속, X는 탄소 혹은 질소, Tx는 말단기로서 −OH, −F, −Cl 및/혹은 −O− 를 의미)의 일반식을 가지며, 맥신(MXene; 그래핀과 유사한 형태를 지녀 M과 X에 접미사 –ene를 붙여 명명)이라고 불리우는 이차원 판상물질이11 개발되어 이차전지뿐만12 아니라, DSSC용 상대전극의 촉매층으로13-15 적용된 연구결과가 발표되었다. 다양한 조성의 맥신화합물 중에서 Ti3C2Tx를 이용한 연구가 가장 많이 발표되고 있으며, 특히 DSSC용 촉매로의 응용도 가능함이 확인되었다.13-15 이러한 Pt 촉매 대체용 소재는 대부분 분말상태로서 투명전극 상부에 촉매층을 형성시키기 위해서는 바인더 수지의 사용이 요구되고 있으며, poly(vinylidene fluoride)(PVdF),16 polyoxyethylene(12) tridecylether,17 poly (ethylene glycol),18,19 ethyl cellulose13 등이 이용되고 있다. 그러나, 이러한 바인더 수지는 절연성 물질이므로 촉매활성을 저하시켜 DSSC의 효율을 감소시키는 문제가 있다. 한편, 바인더 수지를 사용하지 않고 촉매층을 형성시켜14,15 제조된 DSSC는 광전변환 효율을 향상시킬 수 있는 장점이 있지만, 장시간 사용에 의해 촉매층이 기판으로부터 탈리되는 문제를 배제할 수 없다.
본 연구에서는 맥스상(MAX phase; 여기서 A는 주기율표의 13족 혹은 14족 원소) 물질인 Ti3AlC2를 이용하여 Ti3C2Tx 맥신소재를 합성하였으며, 이를 DSSC용 촉매층에 적용하여 태양전지 성능을 평가하였다. 이때, Ti3C2Tx 촉매층 형성용 바인더 수지로서 절연성의 poly(vinylidene fluoride)(PVdF), 반도체 성질(정공수송성)의 regioregular poly(3-hexylthiophene-2,5-diyl) (P3HT) 및 전자전도성(전극용) poly(3,4-ethylenedioxythiophene): poly(styrenesulfonate)(PEDOT:PSS)를 사용하였으며, DSSC의 효율특성에 미치는 영향을 조사하였다.
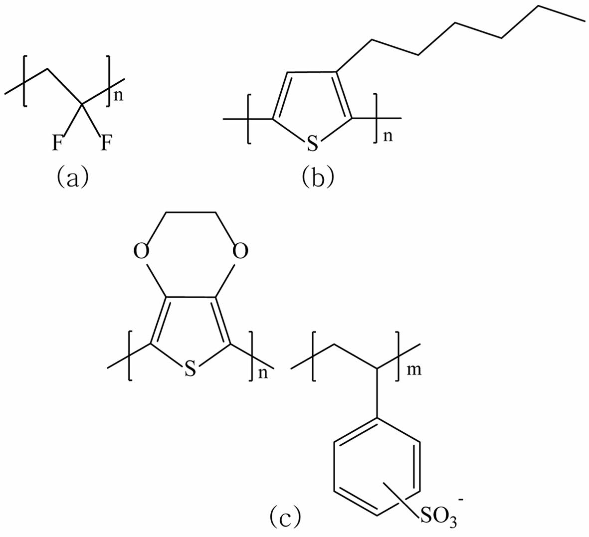
시약. 투명전극(F-doped tin oxide, ~7 Ω/square, FTO)이 코팅된 유리기판(TCO22–7), 메조포러스층(Ti–nanoxide R/SP)과 산란층(Ti–nanoxide R/SP) 형성용 TiO2 페이스트, N719 염료(Ruthenizer 535–bisTBA), 핫멜트 접착제(Metlonix 1170–25, DuPont Surlyn) 및 I-/I3-계 전해질(AN-50)은 Solaronix S.A. (Aubonne, Switzerland)로부터 구입하였다. Titanium diisopropoxide bis(acetylacetonate)(TPA), TiCl4, titanium aluminium carbide 312(Ti3AlC2, ³90%, £40 μm) 및 PVdF(Mw~534000 g/mol)는 Sigma-Aldrich(St. Louis, MO, USA) 제품을 이용하였다. LiF와 chlorobenzene은 Tokyo Chemical Industry Co., Ltd.(Tokyo, Japan) 제품을 이용하였으며, N,N-dimethylformamide(DMF)와 HCl(6N)은 대정화금㈜(Gyeonggi-do, Korea)의 제품을 구입하여 사용하였다. Ti3C2Tx 촉매층 형성을 위한 P3HT(4002-EE)와 PEDOT:PSS(CLEVIOSTM PH 1000)는 각각 Rieke Metals, LLC(Nebraska, USA)와 Heraeus Deutschland GmbH & Co. KG의 제품을 구입하여 사용하였다. Isopropyl alcohol(IPA)은 덕산약품공업㈜(Gyeonggi-do, Korea) 제품을 이용하였다. 맥스상 물질의 분체를 위한 메쉬는 CISA Sieving Technologies (Barcelona, Spain)의 제품(CE.0100601, Φ60 × h18 mm, No.635, sieve opening 20 μm)을 이용하였다. 이상의 맥신 합성 및 DSSC 제조에 이용된 시약은 별도 정제없이 그대로 사용하였다. 본 연구에 사용된 촉매층 형성용 바인더 수지의 구조식을 Figure 1에 제시하였다.
Ti3C2Tx 맥신 합성. Ti3C2Tx 맥신은 기 발표된 문헌과 유사한 방법으로 제조하였다.20,21 맥스상 물질인 Ti3AlC2(5 g)를 직경 10 mm인 zirconia와 혼합하여 분쇄용기(15 mL)에 가한 후, 진동형 볼밀장치에서 30분간 분쇄(초당 40회 진동)하였고, 이를 메쉬(mesh No. 635)로 걸러 입경이 20 μm 이하인 Ti3AlC2만 회수하였다. 별도로 제조된 에칭용액(6N HCl 수용액 30 mL + LiF 1.98 g)에 Ti3AlC2(3 g)를 서서히 첨가한 후 40 ℃에서 45시간 교반시켜 Ti3AlC2로부터 Al 층을 에칭시켰다. 에칭 후 슬러리 상의 혼합물을 7000 rpm에서 5분간 원심분리시켜 침전된 하층을 회수하였고, 이를 증류수에 분산시키고 원심분리 과정을 반복적으로 수행하였다. 이때 원심분리에 의한 상층의 용액이 pH=6이 될 때까지 반복적으로 수행하였다. 원심분리에 의해 회수된 하층의 분말을 증류수에 분산시키고 1시간 동안 초음파 처리한 후 회전증발기로 증류수를 제거하였으며, 이를 진공건조하여 Ti3C2Tx 맥신을 합성하였다.
Ti3C2Tx 맥신 페이스트 제조. DMF(1 g)에 PVdF(11.6 mg)를 가하여 용해시키고, 여기에 Ti3C2Tx 맥신(104.4 mg)을 첨가한 후 24시간 교반 후 30분간 초음파 분산시켜 PVdF 기반 Ti3C2Tx 페이스트를 제조하였다. P3HT 기반 Ti3C2Tx 페이스트 제조를 위하여 chlorobenzene(1 g)에 P3HT(11.6 mg)를 가하여 용해시키고, 여기에 Ti3C2Tx 맥신(104.4 mg)을 첨가한 후 24시간 교반 후 30분간 초음파 분산시켰다. 한편, PEDOT:PSS 분산액에 Ti3C2Tx 맥신(104.4 mg)을 첨가한 후 30분간 초음파 분산시켜 PEDOT:PSS 기반 Ti3C2Tx 페이스트를 제조하였다. 이러한 페이스트에 있어서 바인더 수지 용액의 농도는 PEDOT:PSS 분산액의 농도와 동일(1.15 wt%)하게 조정하였으며, 바인더 수지는 맥신함량 대비 10 wt%로 고정하였다.
Ti3C2Tx 맥신 촉매층을 갖는 DSSC 제조. FTO 기판(1.5 × 2.0 cm2)을 증류수, 아세톤 및 에탄올에 침적시켜 각각 10분간 초음파 세정을 실시한 후 건조(70 ℃, 30분)하였다. 에탄올에 용해시킨 TPA 용액(0.3 M)을 세정된 FTO 기판 상부에 스핀코팅(3000 rpm, 30초)한 후 150 ℃의 핫플레이트 상부로 이동시키고 2분간 열처리하였다. 닥터블레이드 코팅방법으로 TiO2 페이스트(Ti–nanoxide R/SP)를 TPA 막 상부에 코팅(25 mm2), 건조(70 ℃, 30분)하였고, 이어서 산란층용 TiO2 페이스트(Ti–nanoxide R/SP)를 추가적으로 코팅, 건조(70 ℃, 30분)한 후 열처리(500 ℃, 60분)하여 메조포러스층과 산란층을 형성시켰다. 이를 증류수와 TiCl4(40 mM) 혼합용액에 침적시키고 70 ℃ 오븐기에 30분간 방치한 후, 증류수과 에탄올로 세정, 건조(70 ℃, 15분) 및 열처리(500 ℃, 60분)하여 광전극(TiO2/FTO)을 제조하였다. 에탄올에 용해된 N719 염료용액(0.5 mM)을 별도로 준비한 후, 광전극을 8시간 침적시켜 TiO2 표면에 N719 염료를 흡착시켰으며, 증류수와 에탄올로 세정한 후 건조(70 ℃, 30분)하여 작업전극을 완성하였다.
상대전극을 제조하기 위하여, 먼저 FTO 기판에 전해질 주입구를 형성시키고, 아세톤, 증류수 및 에탄올에 침적시켜 각각 10분간 초음파 세정을 실시한 후 건조(70 ℃, 30분)하였다. 세정된 FTO 기판 상부에 Ti3C2Tx 맥신 페이스트를 닥터블레이드 방법으로 코팅후 건조(120 ℃, 30분)하여 상대전극을 제조하였다. 이때, PEDOT:PSS 기반 Ti3C2Tx 페이스트를 이용하였을 경우에는 고온건조 시 맥신 촉매층이 박리되는 문제가 있었으며, 이를 해결하기 위하여 40 ℃ 핫플레이트에서 30분간 건조하였다. 핫멜트 접착제를 중심으로 작업전극의 TiO2 면과 상대전극의 맥신층이 서로 대향하도록 배치시킨 후, 열처리(120 ℃, 10분)하여 작업전극과 상대전극을 접합시켰다. 전해질 주입구를 통하여 I-/I3-계 전해질을 주입한 후, 핫멜트 접착제로 주입구를 밀봉시켜 광활성층 면적이 25 mm2인 DSSC를 제조하였다.
분석 및 측정. Ti3C2Tx 맥신의 결정구조 분석은 고온 X선회절분석기(high temperature X-ray diffractometer; XRD) (D8-Discover, Bruker AXS; Karlsruhe, Germany)를 이용하였으며, 합성된 맥신 입자 및 DSSC 단면의 이미지를 관찰하기 위하여 에너지분산 X선분광기(energy-dispersive X-ray spectrometer; EDS)가 장착된 전계방사형 주사현미경(field-emission scanning electron microscope; SEM)(S-4800, Hitachi High Technology; Tokyo, Japan)을 이용하였다. 제작된 DSSC에의 광조사는 Xenon arc lamp(150W)가 장착된 솔라시뮬레이터(PEC-L01, Peccell Technologies, Inc.; Yokohama, Japan)를 이용하였다. 솔라시뮬레이터의 광세기는 silicon photodiode(PEC–SI01, Peccell Technologies, Inc.; Yokohama, Japan)를 이용하여 air mass 1.5(100 mW/cm2) 조건으로 조정후 사용하였다. 태양전지의 전류-전압(current density-voltage) 특성 및 전기화학적 임피던스 분광분석(electrochemical impedance spectroscopy: EIS) 특성은 potentiostat(CompactStat, Ivium Technologies B.V.; Eindhoven, The Netherlands)를 이용하여 평가하였다. 태양전지의 유효면적은 이미지분석 소프트웨어가 장착된 digital microscope camera(SZ61, Olympus Corporation, Tokyo, Japan)를 이용하여 측정하였다.
|
Figure 1 Chemical structure of (a) PVdF; (b) P3HT; (c) PEDOT:PSS used as binder resin. |
Ti3C2Tx 맥신 합성 및 분석. 맥스상 물질인Ti3AlC2는 공유결합성 Ti3C2층과 금속결합성 Al층이 교대로 배열된 층상화합물이며, Al층은 불산(HF)에 의해 선택적으로 에칭 및 제거할 수 있다. 이러한 에칭기술은 HF 수용액을 직접 사용하는 방법과 in-situ HF를 사용하는 방법이 알려져 있다.20 본 연구에서는 반응식 (6)과 같이 HCl/LiF 혼합수용액을 이용한 in-situ HF 에칭방식으로 Al층을 제거함으로서 Ti3C2Tx를 제조21 하였으며, 이의 합성여부를 확인하기 위하여 XRD 분석을 실시하였다.

Figure 2에 제시된 바와 같이 Ti3AlC2의 (002) 피크가 9.64° (2θ)에서 나타났으며, Al층이 에칭된 Ti3C2Tx에서는 6.48°로 이동하였다. 이는 Ti3C2Tx의 d-spacing(13.6 Å)이 Ti3AlC2(9.2 Å)보다 크다는 것을 의미하며, Ti3AlC2로부터 Al층이 에칭, 제거되었기 때문이다. 또한, Ti3C2Tx의 (110) 피크가 60.8°에서 새로이 나타났다. 이상과 같이 (002) 피크의 이동과 (110) 피크의 생성으로부터 Ti3AlC2의 Al 층이 HCl/LiF에 의해 에칭, 제거되었음을 확인할 수 있었다.22,23 그러나, Ti3AlC2의 주요 피크들 즉, (002) 피크(9.64°) 및 (104) 피크(38.9°)가 에칭후에도 완전히 사라지지 않고 여전히 존재하고 있으며, 이로부터 합성된 Ti3C2Tx에는 미반응된 Ti3AlC2가 소량 혼합되어 있음을 알 수 있었다. 이는, in-situ HF 방식의 경우 HF 수용액을 직접 사용하는 경우보다 산도(acidity)가 낮아서 에칭성이 저하되기 때문이라고 해석하고 있으며, 이와 유사한 결과가 보고되었다.22 In-situ HF 에칭에 의한 Ti3C2Tx의 생성여부를 추가적으로 확인하기 위하여 SEM 이미지 분석을 실시하였으며, 그 결과를 Figure 3에 제시하였다. Ti3C2Tx (Figure 3(a))와 Ti3AlC2(Figure 3(b))의 SEM 이미지를 비교해 볼 때, Al 층이 에칭, 제거된 Ti3C2Tx는 층간 간격이 증가하였음을 확인할 수 있었다.
Ti3C2Tx 맥신 촉매층의 모폴로지. 바인더 수지 종류별Ti3C2Tx 촉매층의 모폴로지를 관찰하기 위하여 전해질 주입전 DSSC 단면의 SEM/EDS mapping 분석을 실시하였다. 이때, 바인더 수지를 사용하지 않고 형성된 촉매층 시편의 모폴로지도 함께 분석하였으며, 시편 제조과정은 다음과 같다. 즉, Ti3C2Tx(0.150 g)을 isopropyl alcohol(1 mL)에 분산시킨 후 FTO 기판 상부에 닥터블레이드 코팅 및 건조하여 상대전극을 제조한 후 이를 작업전극과 조립하여 분석시편을 제조하였다. 바인더 수지를 포함하지 않는 촉매층의 경우는 Figure 4(a)와 (b)와 같이 Ti3C2Tx 촉매층 일부가 기판으로부터 탈리하여 TiO2 광전극 상부에 낙하된 상태로 존재하는 입자가 관찰되었다. 또한, 특정부위에서는 맥신입자가 과도하게 탈리되어 작업전극과 상대전극이 서로 접촉한 경우도 관찰이 되었으며, 이 경우 전자전도성의 Ti3C2Tx가 전기적 단락을 유발하여 태양전지가 정상적으로 작동할 수 없게 된다. 바인더 수지를 사용한 촉매층의 경우는 Figure 4(c)~(h)와 같이 Ti3C2Tx 입자가 탈리되는 부분 없이 안정적으로 막을 형성하고 있음을 확인할 수 있었다. 한편, 바인더 수지로서 PVdF, P3HT 및 PEDOT:PSS를 사용한 경우 촉매층의 두께는 각각 21.3, 12.4 및 6.76 μm로 측정되었으며, 이는 바인더 수지 종류별로 맥신 페이스트의 점도차이에 의한 것으로 판단된다.
Ti3C2Tx 맥신 촉매층을 갖는 DSSC의 효율특성. 합성된 Ti3C2Tx의 바인더 수지로서 절연성의 PVdF, 반도체성의 P3HT 및 전자전도성의 PEDOT:PSS를 사용하여 FTO 기판 상부에 맥신 촉매층을 형성하였고, 이를 이용하여 DSSC를 제조한 후 효율특성을 평가하였다. 각 조건별로 3개의 DSSC에 대한 평균과 표준편차를 Figure 5 및 Table 1에 제시하였으며, 바인더 수지로서 PEDOT:PSS를 사용하였을 때 가장 높은 전력변환효율(power conversion efficiency, PCE)을 보였다.
바인더 수지 종류별로 단락전류(short-circuit current, Jsc)와 개방전압(open-circuit voltage, Voc)의 차이는 작으나, 충진율(fill factor, FF)은 큰 차이를 보였다. 즉, PEDOT:PSS를 적용한 DSSC의 충진율은 39.92±1.30%를 나타내었고, PVdF와 P3HT는 각각 26.60±0.80% 및 27.61±2.30%를 보였다. 이러한 충진율의 차이로 인해 PEOT:PSS 적용소자의 효율이 가장 높게 나타났다.
이상과 같이 바인더 수지 종류에 따른 효율의 차이를 세부적으로 파악하기 위하여 각 바인더 수지별로 효율이 가장 높은 셀을 선택하여 분석을 실시하였다. 효율이 가장 높은 태양전지의 전압-전류 특성을 Figure 6과 Table 2에 제시하였다. 앞서 언급한 바와 같이 바인더 수지별 단락전류와 개방전압은 거의 비슷한 값을 나타내었다. 그러나, 충진율의 경우 PEDOT:PSS 적용소자에서는 40.47%로 측정되었고, PVdF와 P3HT는 각각 27.45% 및 29.33%로서 PEDOT:PSS 대비 휠씬 낮은 값을 보였다.
일반적으로 태양전지의 충진율은 시리즈저항(series resistance, Rs)과 션트저항(shunt resistance, Rsh)에 의해 영향을 받으며, 낮은 시리즈 저항 혹은/및 높은 션트 저항일수록 충진율은 증가한다.24,25 이러한 시리즈 저항과 션트 저항은 각각 전류-전압 곡선의 개방전압과 단락전류 값에서의 기울기로부터 산정될 수 있으며, 그 결과를 Table 2에 제시하였다. PEDOT:PSS 적용 소자의 경우 PVdF와 P3HT 대비 보다 낮은 시리즈 저항(20.8 Ωcm2)과 높은 션트 저항(438.6 Ωcm2) 값을 보였다. 이로부터 PEDOT:PSS 적용소자의 충진율이 가장 높은 값을 나타낸 것은 상대적으로 낮은 시리즈 저항과 높은 션트 저항에 기인한 것으로 볼 수 있다.
시리즈 저항은 DSSC 내부의 계면저항에 의해 영향을 받는 것으로 알려져 있으며, 바인더 수지 종류별 DSSC의 내부저항을 확인하기 위하여 EIS 분석(Figure 7)을 실시하였다. 일반적으로 DSSC의 EIS Nyquist plot은 3개의 반원으로 구성되며, 첫번째 반원은 촉매층/FTO 계면(상대전극)에서 전하수송 저항(R1)에 기인한 것이며, 두번째 반원은 TiO2/염료(N719)/전해질(I-, I3-계) 계면에서의 전하수송 저항(R2)에 의한 것이다. 세번째 반원은 전해질 내에서의 이온확산 저항(R3)에 기인한 것으로서, 3개 반원의 폭이 각 계면에서의 내부저항에 해당된다. 첫번째 반원을 좀 더 구체적으로 설명하면 촉매 존재 하에서 전해질 내의 I3-가 외부회로로부터 전달된 전자를 받아서 환원되는 반응(반응식 (3))에 대한 저항으로서, 촉매층의 활성과 직접적으로 관련되어 있다. 즉, 촉매활성이 클수록 낮은 R1 값을 나타내며, 이는 태양전지 작동과정에서 정공수집 효율이 높음을 의미한다.6,7 Figure 7에 제시된 바와 같이 바인더 수지로서 PEDOT:PSS를 적용한 소자의 경우, 촉매활성이 우수하여 첫번째 반원이 거의 보이지 않을 정도로 낮은 R1 값을 보였다. 반면에 PVdF와 P3HT의 경우, 비록 R1과 R2 반원이 겹쳐져 있어서 정확한 값을 산정하기 어렵지만 약 50~100 Ω의 높은 저항값을 보였다. 한편, PEDOT:PSS가 적용된 소자의 경우 R2 값도 PVdF 혹은 P3HT 대비 상당히 낮게 나타났는데, 이는 우수한 촉매활성(낮은 R1 값)으로 인해 I-가 다량 생성(반응식 (3))될 수 있으며, 이들은 전해액을 통하여 염료근처까지 확산된 후 염료에 형성된 정공에 전자를 제공하여 염료재생(반응식 (4) 및 (5)) 효율을 향상시켰기 때문이다. 이상과 같이 PEDOT:PSS를 바인더 수지로 적용할 경우 P3HT와 PVdF 보다 소자내부 계면저항(R1+R2)이 크게 감소하였고, 이는 시리즈 저항을 낮추어 충진율을 향상시키게 됨을 확인할 수 있었다.
PEDOT:PSS를 Ti3C2Tx 맥신 촉매의 바인더 수지로 사용할 경우 촉매활성이 우수한 이유는 다음과 같이 설명할 수 있다. 앞서 언급한 바와 같이 Ti3C2Tx는 반응식 (3)의 활성화에너지를 낮추어 주는 촉매 역할을 하며, 반응식 (3)이 원활하게 일어나기 위해서는 먼저 촉매와 전해질(I3-)과의 접촉면적이 넓으면서, 전자전도성이 우수하여 외부회로를 통하여 이동해 온 전자를 FTO 전극으로부터 전달받은 후 I3-에 제공할 수 있어야 한다. 이러한 전자전도성 Ti3C2Tx 맥신 입자의 바인더 수지가 절연성일 경우 FTO → Ti3C2Tx → I3-로 이어지는 전자이동 경로가 차단될 수 있으므로 반응식 (3)의 효율이 낮아질 수 있다. 앞서 Figure 4에 제시된 바와 같이 PEDOT:PSS 적용소자의 경우 PVdF와 P3HT 보다 두께가 얇아서 I3-(전해액)와의 접촉면적이 현저히 작음에도 불구하고 보다 우수한 효율특성(충전율)을 나타내었다. 이는 PEDOT:PSS의 전자전도성에 기인한 것이며, PVdF와 P3HT의 경우는 FTO로부터 전달받은 전자를 Ti3C2Tx/전해액 계면에 존재하는 I3-까지 효과적으로 전달시키지 못하여 반응식 (3)이 제한적으로 일어난 것으로 판단된다.
한편, Yanagida 등은 PEDOT:PSS를 상대전극의 촉매로 적용하였을 때 충진율 28% 및 효율 2.10%를 발표하였다.26 이와 같이 PEDOT:PSS는 그 자체로서 I-/I3-계 전해질의 산화-환원 반응에 대해 촉매활성이 있는 것으로 알려져 있다. 비록 본 연구에서는 PEDOT:PSS를 Ti3C2Tx 촉매 대비 10 wt%만 사용하였지만, PVdF 혹은 P3HT 보다 우수한 태양전지 성능을 보이는 것은 PEDOT:PSS 자체의 촉매활성도 일부 기여한 것으로 판단된다. 이와 같이 PEDOT:PSS 자체의 촉매활성과 앞서 언급된 높은 전자전도성 중에서 어느 특성이 효율향상에 주로 기여하였는지 파악을 시도하였다. 즉, 반도체성(정공수송성) PEDOT:PSS(CLEVIOSTM P VP Al 4083)를 확보하여 바인더 수지로 적용평가한 후 높은 전자전도성을 갖는 PEDOT:PSS (PH 1000)와 비교를 시도하였다. 그러나, 반도체성 PEDOT:PSS는 Ti3C2Tx 맥신과 혼합하였을 때 곧바로 응집(aggregation)이 일어나는 문제로 인하여 Ti3C2Tx 맥신 페이스트를 제조할 수 없었으므로 DSSC 적용평가가 불가능하였다.
|
Figure 2 XRD patterns of Ti3C2Tx MXene and Ti3AlC2 MAX phase. |
|
Figure 3 SEM images of (a) Ti3C2Tx MXene; (b) Ti3AlC2 MAX phase. |
|
Figure 4 |
|
Figure 5 Cross-sectional SEM ((a), (c), (e), (g)) and EDS Ti mapping ((b), (d), (f), (h)) images of DSSCs with Ti3C2Tx catalyst layers. |
|
Figure 6 Box plots for the photovoltaic performance of DSSCs with different binder resins for Ti3C2Tx catalyst layers: (a) Jsc; (b) Voc; (c) FF; (d) PCE measured under the AM 1.5 condition. |
|
Figure 7 Current density-voltage characteristics of the best-performing DSSCs with different binder resins for Ti3C2Tx catalyst layers. |
|
Table 1 Averages and Standard Deviations of Cell Performance Measured Using Three Cells with Ti3C2Tx Catalyst Layers |
|
Table 2 Photovoltaic Performance of the Best-performing DSSCs with Different Binder Resins for Ti3C2Tx Catalyst Layers |
맥스상 물질인 Ti3AlC2를 in-situ HF 에칭방식으로 Ti3C2Tx 맥신을 합성하였으며, 이를 DSSC의 redox couple(I-/I3-) 재생용 촉매로서 적용평가 하였다. 분말상의 Ti3C2Tx를 FTO 기판 상부에 코팅하여 촉매층으로 형성시킬 때 바인더 수지를 사용하지 않을 경우에는 맥신입자가 기판으로부터 탈리되는 문제가 있었다. 이를 방지하기 위하여 맥신입자와 바인더 수지를 혼합(90:10 wt%)하여 촉매층을 형성시켰으며, 이때 바인더 수지로서 절연성의 PVdF, 반도체성의 P3HT 및 전자전도성의 PEDOT:PSS를 사용하여 DSSC 제조하였고, 바인더 수지 종류별 효율 특성을 비교하였다. PEDOT:PSS를 바인더 수지로 사용한 DSSC는 40.47%의 충진율(PCE = 4.53%)을 보였으며, PVdF의 경우 27.45%(PCE = 3.02%) 및 P3HT의 경우 29.33%(PCE = 3.46%)로 측정되었다. 이와 같이 전자 전도성의 PEDOT:PSS를 이용할 경우 높은 충진율과 효율을 보이는 이유는 그 자체로서 촉매활성을 나타낸다는 사실과 절연성 및 반도체성 바인더 수지의 경우와 달리 FTO 전극으로부터 전달받은 전자를 Ti3C2Tx/전해액 계면(I3-)까지 효과적으로 전달시킬 수 있었기 때문이다. 이 과정에서 전해액 내의 I3-는 I-로 용이하게 전환됨으로서 정공수집 효율이 높아지고, 또한 생성된 I-에 의해 염료재생 효율을 높이는 효과를 나타내었으며 이로써 충진율과 효율이 증가되었다. 이상과 같이 분말상의 촉매를 DSSC에 적용할 경우, 촉매층 형성시 사용되는 바인더 수지로서 PEDOT:PSS를 선택하는 것이 절연성인 PVdF와 반도체성인 P3HT보다 효율향상에 보다 효과적임을 확인할 수 있었다.
This Article2025; 49(1): 113-120
Published online Jan 25, 2025
Services
Correspondence toDepartment of Advanced Materials and Chemical Engineering, Daegu Catholic University, Gyeongbuk 38430, Korea