
Department of Fine Chemistry, Seoul National University of Science and Technology, Seoul 01811, Korea
서울과학기술대학교 정밀화학과
Reproduction, stored in a retrieval system, or transmitted in any form of any part of this publication is permitted only by written permission from the Polymer Society of Korea.
Formation of single polymeric globules occurs via a coil-to-globule transition when temperature or solvent qualities change, representing a molecular phase transition unique to polymeric systems. The underlying principles of the formation of globules and their distinctive conformational properties have been extensively studied due to their fundamental significance in polymer science and potential applications in developing novel polymeric materials. According to Flory-type theory, the formation and conformation of globular polymers are governed by a balance of two-body and three-body interactions among monomers, resulting in a core density of the globules invariant with the degree of polymerization and dependent only on temperature. In this study, we carry out extensive molecular dynamics (MD) simulations using a primitive single polymer model to validate theoretical predictions regarding the core density behaviors of single-polymeric globules. Our results demonstrate that the primitive model employed in this study accurately captures the conformational changes of a single polymer during the coil-to-globule transition observed in experiments. We observe that the core density of a single polymer increases as the polymer adopts a globular and compact conformation. Notably, when varying the degree of polymerization of a single polymer from 100 to 1200, we find that the core density at various temperatures remains unaffected in stable globules. These findings are consistent with the previous prediction of Flory theory, highlighting the importance of the two-body and three-body energetic contributions to the conformational free energy of globular polymers in governing their conformational properties.
단일 고분자 구체의 형성은 온도나 용매 성질의 변화에 의한 코일-구체 상전이를 통해 발생하며, 이는 고분자 계에서만 관찰되는 독특한 분자 상전이의 일종이다. 구형 고분자의 형성과 그 독특한 형태적 특성에 관한 기본 원리는 고분자 분야에서 학문적으로 중요할 뿐 아니라, 새로운 고분자 재료 개발에 잠재적인 응용 가능성을 가지고 있어 광범위하게 연구되어왔다. 플로리(Flory) 이론에 따르면, 구체 고분자의 형성과 형태는 단량체 사이의 2체 및 3체 상호작용의 균형에 의해 좌우되며, 이로 인해 구체의 코어 밀도는 중합도의 정도와 무관하며 온도에만 의존하게 된다. 본 연구에서는 이러한 이론적 예측을 검증하기 위해 원시적인 단일 고분자 모델을 사용하여 광범위한 분자 동역학 시뮬레이션을 수행하였다. 우리는 본 연구에서 사용된 모델이 실험에서 관찰된 코일-구체 상전이에서 보이는 단일 고분자의 형태 변화를 정확하게 구현함을 보였고, 단일 고분자가 구형 및 압축된 형태를 취함에 따라 코어 밀도가 증가함을 관찰하였다. 특히, 단일 고분자의 중합도를 100에서 1200으로 변화시킬 때, 다양한 온도에서 안정된 구체의 중심 밀도가 전혀 영향을 받지 않는 다는 것을 발견하였다. 이러한 결과는 플로리 이론의 예측과 일치하며, 단량체의 2체 및 3체 에너지가 구체 고분자의 형태를 결정하는 자유 에너지에 중요하게 기여함을 보여준다.
Extensive molecular dynamics simulations are performed using a bead-spring model to investigate the core density behaviors of globular polymers with temperature changes. The core density of a single polymer becomes invariant with the degree of polymerization as it adopts a compact and globular conformation. This suggests that the balance of two-body and three-body interactions dominantly governs the conformational properties of globular single polymers.

Keywords: coil-to-globule transition, structure of polymer globules, flory theory, parallel tempering molecular dynamics simulation, conformation of single polymers.
This study was financially supported by Seoul National University of Science and Technology.
The authors declare that there is no conflict of interest.
Single polymers with an expended conformation in dilute solutions often collapse into compact globules via a coil-to-globule transition when temperature or chemical conditions change.1,2 The formation and structural properties of globular single polymers have been extensively investigated due to their fundamental importance in understanding the conformation of biomacromolecules3-8 and their implications in manufacture chemo- and thermo-responsive polymeric nanoparticles.9-11 Consequently, many theoretical efforts have been devoted to understanding the conformational properties of polymeric globules.12-16 However, examining these theoretical predictions through experiments is not a trivial task. Numerical simulations, thus, provide an efficient tool to bridge the gap between theoretical predictions and experimental observations regarding the conformational properties of globules. In this work, by carrying out extensive molecular dynamics (MD) simulations with a primitive single polymer model, we particularly confirm the validity of theoretical predictions regarding the core density behaviors of single-polymeric globules.
In general, properties of polymeric systems exhibit scaling behaviors with respect to the degree of polymerization, which is the number of monomers consisting of a polymer. One of the intriguing structural features of polymeric globules predicted by previous theories, however, is that their core density is not affected by the degree of polymerization.12,17-20 According to Flory-type theory,19-20 the conformation of single polymers is determined by the competition between conformational entropy and effective two-body interactions of monomers. The two-body interactions of monomers in globules are effectively attractive, leading to their compact globular conformation. The conformational entropy of a single polymer is maximized at an optimal polymer size, which is expected to prevent the polymer from collapsing into a single point by overcoming the influence of strong attraction on its conformation. However, the entropy contributions in Flory theory are not strong enough to prevent such a conformational collapse. Accordingly, it was suggested that, rather than conformational entropy, three-body interactions of monomers provide the repulsion that maintains non-zero size of the globules. This implies that the conformation of the globules is determined by the competition between attractive two-body and repulsive three-body interactions, resulting in the core density of the globules being independent of the chain length.
Therefore, affirming that the core density of globules is independent of the degree of polymerization partly validates the prediction that the conformation of polymeric globules results from the competition between two- and three-body interactions. However, it is a formidable task to experimentally evaluate the core density of globules while finely varying various experimental conditions such as temperature, solvent qualities, and degrees of polymerization. Hence, Rissanou et al., carried out Monte Carlo (MC) simulations with a single polymer on a lattice space and showed that the core density is independent of the number of monomers in a polymer,21 suggesting that a similar behavior should be observed in a continuum space—a more relevant system to experiments. However, it is important to note other simulation results showing that properties of single polymers in lattice and continuum systems, such as the coil-to-globule transition temperature and crystallization temperature, can be qualitatively different.22-24 Therefore, it is required to explicitly confirm whether the core density of single polymers remains constant with respect to a broad range of the degree of polymerization, which is the focus of this work.
To elucidate the effects of the degree of polymerization on the core density of globules, we consider a primitive bead-spring model25 of a single polymer, where polymers are modeled as linearly connected spherical beads by a bonding potential. Although this model simplifies the chemical details of monomers, it is beneficial for saving computational efforts when investigating generic features of polymeric systems with varying the degree of polymerization by orders of magnitude. In the globular states of single polymers, however, the dynamics slow down significantly,26 especially for longer chains, which demands considerable computational time to obtain the equilibrium configuration of single polymers in globular states. Therefore, by carrying out parallel tempering molecular dynamics (PTMD) simulations27,28 - where MD simulations with multiple replicas at different temperatures are conducted simultaneously- we efficiently obtain equilibrium configurations of globular single polymers across a broad range of temperatures.
In this work, we show that the conformation of a single polymer becomes compact and forms a globular conformation as temperature decreases. The conformational variation of the single polymer with decreasing temperature exhibits universal features in terms of the theta temperature Q, as predicted by previous theories and observed in earlier experiments, validating our simulation model and methods for investigating the generic features of polymer globules. Q is a significant characteristic temperature of polymers, where the effective repulsive and attractive interactions of monomers cancel each other out, resulting in an ideal chain conformation. When temperature is higher than Q, the single polymer has an extended coil conformation. In this regime, we find that the core density of single polymers decreases as the degree of polymerization increases. On the other hand, as the temperature decreases below Q, the core density gradually increases. When the temperature is sufficiently lower than Q, the core and surface regions of the single polymer are clearly distinguished, indicating the formation of polymeric globules. Interestingly, we confirm that in this temperature regime, the core density remains invariant even when the degree of polymerization varies from 100 to 1200, as predicted by Flory theory. This finding partly supports the scenario of globule formation being balanced by the attractive two-body and repulsive three-body interactions of monomers.
Simulation Model. A single polymer is modeled by linearly connecting N spherical beads, with N ranging from N = 100 to N = 1200 (Figure 1). The diameter and mass of the beads are 1s and 1 m, where s and m are the reduced units of length and mass in this simulation, respectively. The adjacent beads are connected by a harmonic potential Ub(r), defined as Ub(r) = Kb(r-rb)2, where r is the distance between adjacent beads and rb is the bond distance, set to rb = 1σ. Here, Kb is a spring constant set to Kb = 1000 kBT/s, where kB and T are the Boltzmann constant and temperature, respectively, and kBT is used as a reduced unit of energy in this simulation. The value of Kbused in this study is large enough to prevent local segments from passing through each other.
The interaction between pairs of monomers not connected to each other is modeled by the Lennard-Jones (LJ) potential ULJ(r), defined as ULJ(r) = 4ε[(σ/r)12 - (σ/r)6], where r is the distance between two monomers and ε = 1kBT, which is truncated and shifted at rcut = 2.5σ. As the temperature decreases, the attractive parts of ULJ(r) become more significant, driving the single polymer to adopt a more compact conformation with decreasing temperature.
Simulation Methods. We carry out PTMD simulations to obtain equilibrium configurations of single polymers at various T and calculate their structural properties at equilibrium. In this study, we consider 32 independent replicas containing a single polymer at different temperatures for the PTMD simulations. For given MD time steps trep, the positions of single polymers are evolved via Velocity-Verlet algorithm with an integration time step dt = 0.005tMD, where τMD =
is a reduced unit of time in this simulation. At every trep, two replicas at adjacent temperatures are randomly selected, and permutation of the two configurations of the single polymer is attempted. The permutated configurations are accepted as new configurations according to the Metropolis algorithm.27,28 This Monte Carlo permutation move in the PTMD simulations allows configurations at lower temperatures to overcome energy barriers that trap configurations within local minima by visiting higher temperatures, thereby enhancing the sampling efficiency.
To obtain the equilibrium configurations, we first generate 32 initial configurations at various temperatures, ranging from T = 0.8 to T = 4.5. The temperature ranges and the temperature difference between adjacent replicas are adjusted based on N to optimize the permutation probability. We then equilibrate the initial configurations by carrying out PTMD simulations for teq = 20000000 MD time steps with trep = 50000 MD time steps. Following this equilibrium run, we conduct additional PTMD simulations for tprod = 100000000 MD time steps to calculate the structural properties of the single polymers.
|
Figure 1 Simulation snapshot of a single polymer with N = 1200 at T = 4.0. |
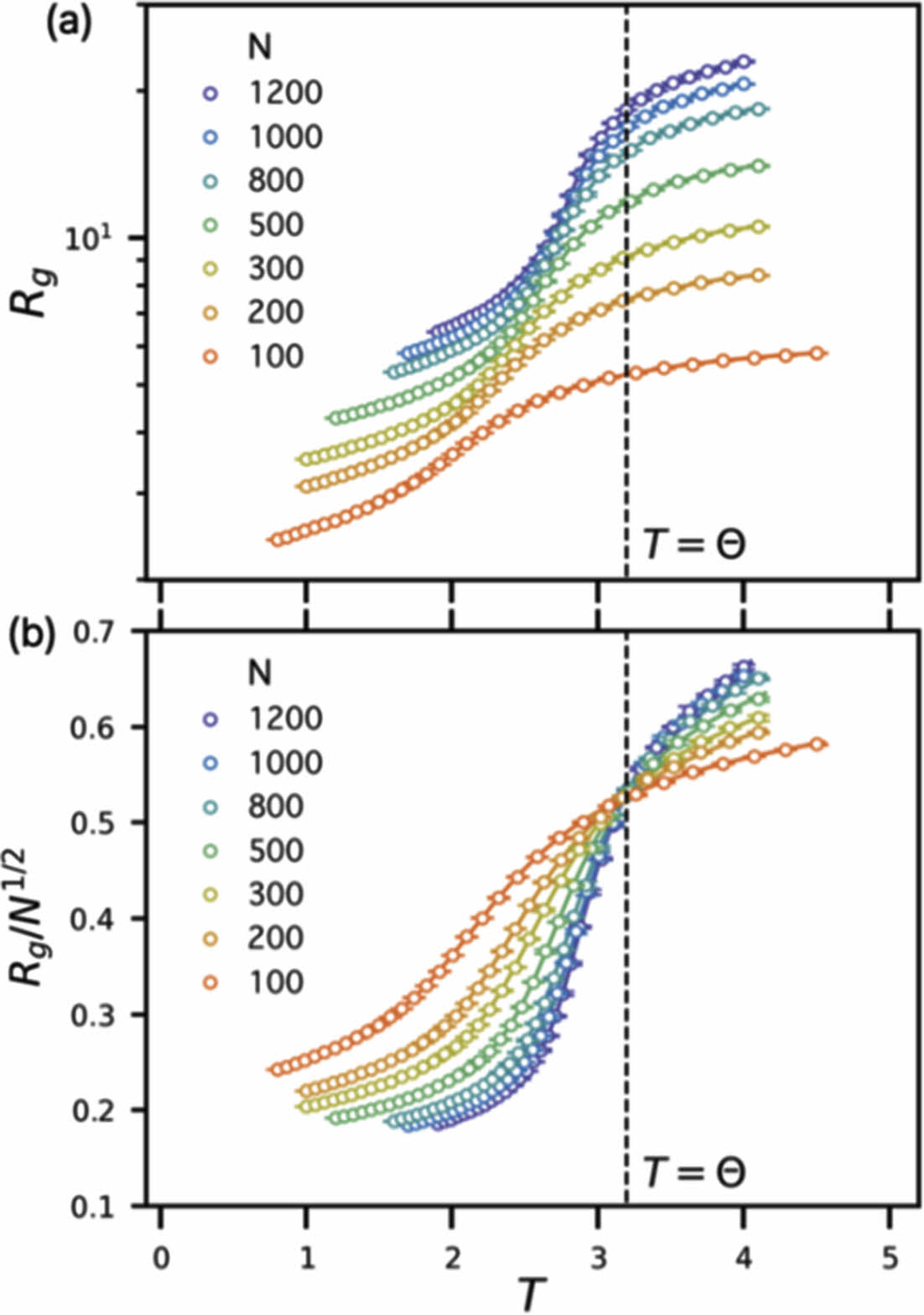
In Figure 2(a), the radius of gyration Rg of single polymers is depicted with respect to T for various N, which quantitatively characterizes the conformational changes of the single polymer as the temperature varies. Here, Rg is determined as Rg =
, where
is the position vector of the i-th monomer,
is the position vector of the center of mass of N monomers
, and 〈…〉 denotes an ensemble average of the quantity. As shown in the graph, regardless of N, Rg decreases with a decrease in T due to the growing influence of attractive non-bonding interactions on the conformation, indicating that the conformation becomes compact, changing from a coiled conformation as the temperature decreases.
The conformation changes with variations in T can be well understood in terms of the effective two-body interactions.17,20,29 At high temperatures, the effective two-body interactions between the monomers are repulsive. In this regime, Rg scales as Rg~N3/5. AsT decreases, the contributions of the attractive interactions grow. At T = Θ, the influence of attraction and repulsion are balanced, leading to an ideal conformation for the single polymer, characterized by Rg~N1/2. When the temperature drops below Θ, the attractive interactions become the dominant contribution in the two-body interactions, causing the conformation of the single polymers to become compact and globular. This results in Rg~N1/3, a hallmark of the formation of globular polymers.
Therefore, if we redraw Figure 2(a) by reducing Rg by factor of N1/2, all curves for various N should intersect at one point at T = Θ. In Figure 2(b), we depict Rg/N1/2 with respect to T for various N. Rg/N1/2 decreases gradually, rather than discontinuously, with decreasing T, but for larger N, Rg changes more steeply with T, all of which display the continuous phase transition nature of the coil-to-globule transition. As expected, Rg/N1/2 converges at a single point at a characteristic temperature (the black vertical dashed line), suggesting that at this point, the contributions of the effective attractive and repulsive interactions to the polymer conformation are canceled out. Thus, we determine this point as the Θ temperature, evaluated as Θ = 3.20.
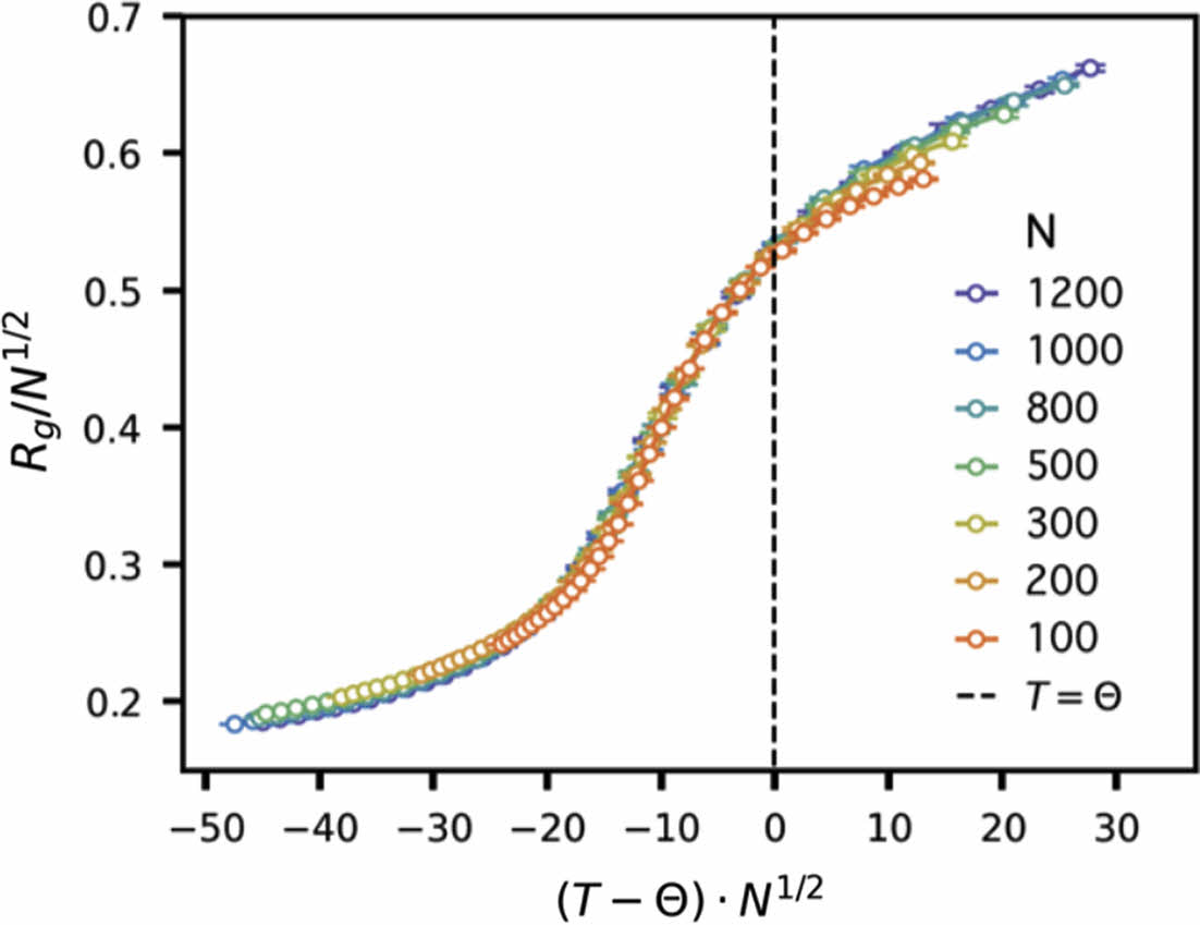
We note that although the two-body interactions between the monomers become attractive at T<Θ, the coil-to-globule transition temperature Tcg of the single polymer with a finite value of N is slightly lower than Θ.30 However, as N increases to infinity, Tcg converges to following (Θ-Tcg)~N-1/2.22-24,30 Moreover, as shown in Figure 2(b), the coil-to-globule transition is a continuous phase transition, and the transition width DTcg decreases with an increase N, which is well established to be follow a scaling relation ΔTcg~N -1/2.12,18,21,30 These imply that Rg/N for various N collapses onto a single curve with respect to T shifted by Θ and then rescaled by N -1/2, i.e., (T-Θ)N -1/2,21 as shown in Figure 3.
This clearly demonstrates that our simulation model, though primitive, successfully captures the universal features in the formation of polymer globules with temperature variation as predicted by previous theories and observed in previous simulations and experiments. Therefore, this guarantees that the structural properties of polymer globules in our simulation model, particularly the core density of globules in this study, accurately reflect those in experiments.16,31-33
In order to calculate the core density of globules, we obtain the density profile ρ(r) of monomers, defined as ρ(r) =
, where r denotes the distance from the center of mass of a polymer and δ(x) is a delta function, i.e., δ(x) = 1 at x = 0, otherwise δ(x) = 1. In Figure 4(a), we depict ρ(r) with respect to r for various T from T = 1.9 to T = 4.0 when N =1200. The graph shows that when T is above Θ = 3.20, at which the single polymer has a coiled conformation, ρ(r) gradually decreases as r increases from 0. However, as T decreases, the value of ρ(r) at r = 0 increases, and the plateau region of ρ(r) around r = 0 appears more prominently. This means that the core and interfacial regions of single polymers become more distinct, signifying the emergence of globular structures. Figure 4(b) provides simulation snapshots of the single polymer at various T when N = 1200, graphically illustrating the formation of the globular single polymer with a distinctive core region as observed in Figure 4(a).
The core density ρcore of the single polymers is defined as ρ (r) at r = 0, which can be determined by taking the limit of the value of ρ(r) in Figure 4(a) as r→0 (the open symbols in Figure 4(a)). The increase in ρcore with decreasing T observed in Figure 4(a) is attributed to the growth of the two-body attractive interactions. In Flory theory, the contribution of the two-body interaction to the conformational free energy Fener is estimated using a mean-field approach as Fener~kBT v N2/Rg3, where v is the excluded volume of a monomer, a measure of the effective two-body interaction of monomers.17,19,20,29 If the effective interaction between the monomers is net attractive, v has a negative value, whereas if net repulsive, v has a positive value. At the theta temperature Θ, there is no net two-body interaction between monomers, such that v = 0. When T < Θ where the attraction is dominant, v is negative. Consequently, as Rg decreases, the conformational free energy also decreases, thereby stabilizing the system.
However, to fully explain the formation of stable globules in terms of Flory theory, the repulsive contribution to the conformational free energy must be considered. If only the attractive component, Fener~kBT v N2/Rg3 is taken into account, Rg would decay to zero, causing ρcore to diverge. Therefore, an entropic loss arising from the reduction in the number of available conformations of a single polymer confined to a significantly small Rg could be considered as a repulsive source of free energy Fcong~kBT N/R3.20 However, this entropic contribution is not strong enough to counterbalance the attractive two-body interactions alone.
Hence, rather than the entropic contributions, it has been suggested that the three-body interactions should provide the repulsive source to stabilize the collapsing single polymer.17,20 When the density of monomers is low, the influence of three-body interactions to the chain conformation is negligible. On the other hand, as the density of the monomer is increased by decreasing the chain size, its contribution becomes important. According to the Flory-Huggins theory, the contribution of the three-body interactions between monomers can be estimated by F3.ener~kBTw N3/R6, where w is the three-body interaction coefficient that has a positive value. Therefore, the conformational free energy of globules is dominated by Fener and F3.ener, i.e., Fconf = Fener + F3.ener. Then, the size of the globules is determined at the point where Fconf is minimized, i.e., ∂Fconf /∂Rg = 0, resulting in Rg~(w/|v|) N1/3.
This indicates that the conformation of globules is determined by a balance of attractive two-body and repulsive three-body interactions. Therefore, if the core density ρcore is considered as ρcore ~ N/Rg3, the core density can be expressed as a ratio of the excluded volume and the three-body interaction coefficient, i.e., ρcore ~ |v|/w. Since both of v and w are independent of N, the core density of globular polymers should also be independent of N.
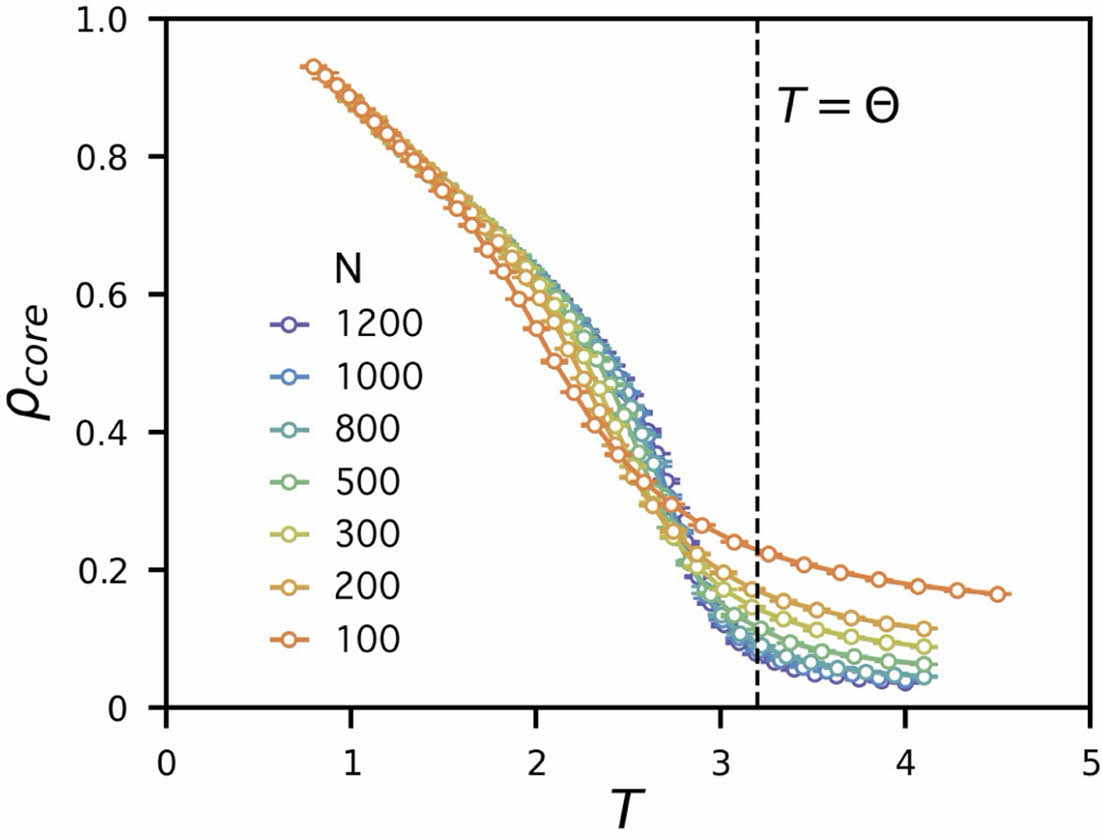
In Figure 5, we depict ρcore with respect to T for various N. As T decreases, ρcore increases regardless of N values, indicating the formation of globules, consistent with observations from Figures 4(a) and (b). In the graph, the dashed line marks the position of the theta temperature. As shown in the graph, when T > Θ, the core density at a given T increases as N decreases. Interestingly, however, as T decreases sufficiently below Θ, ρcore converses to a single line, demonstrating that ρcore becomes independent of the chain length. Importantly, note that the largest N value (1200) considered in this study is more than an order of magnitude larger than the smallest one (100). This clearly confirms that the core density of the stable globules is invariant with N, partly supporting the prediction of Flory theory.
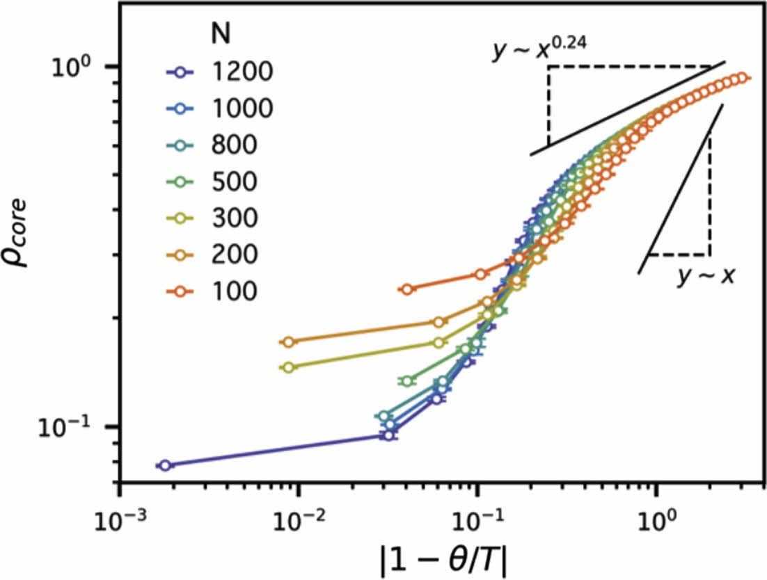
The excluded volume and the three-body interaction coefficient of liquids are associated with the second and third virial coefficients, respectively. According to mean-field approaches based on Flory-Huggins theory,20 the three-body interaction coefficient of monomers is thought to be negligibly influenced by temperature. Hence, the temperature dependence of ρcore is determined by the excluded volume of monomers. In the vicinity of Θ, temperature behavior of v is often simply estimated in terms of Θ, i.e., v ~ (1-Θ/T), indicating that ρcore ~ |1-Θ/T |.20,34 In Figure 6, we depict ρcore with respect to |1-Θ/T | on a log-log scale. However, this figure shows that ρcore is weakly dependent on |1-Θ/T |, compared to the prediction. This discrepancy would be attributed to the fact that the relation v ~ (1-Θ/T) is based on a condition where the average distance between monomers is larger than the monomer size, such that the thermal energy scale overwhelms the magnitude of the pair potential, which is not the case for globules. Moreover, it remains to be confirmed whether the three-body interaction coefficient of monomers in globular polymers is indeed temperature independent. Therefore, to affirm this more clearly, it is necessary to explicitly calculate the values of v and w, which we leave for future work.
|
Figure 2 (a) Rg of various N with respect to T. (b) Rg/N1/2 as a function of T for various N. The black dashed lines in (a) and (b) denote the position of the theta temperature. |
|
Figure 3 Rg/N1/2 of various N with respect to (T − Θ)N 1/2. The dashed line marks the condition that T = Θ. |
|
Figure 4 (a) The density profiles ρ(r) at various T with respect to r when N = 1200. The open circles represent the core density obtained as ρ(r) at r = 0; (b) Simulation snapshots of single polymers with N = 1200 at various T. |
|
Figure 5 Core density of monomers ρcore for single polymers with various N as a function of T. The vertical black dashed line marks the position of the theta temperature. |
|
Figure 6 Core density of monomers ρcore for single polymers with various N as a function of |1−Θ/T |. The dashed lines are drawn to compare the power-law relations between ρcore and |1−Θ/T |. |
In this study, we explore the core density behaviors of single-polymeric globules using extensive molecular dynamics simulations. We employ a bead-spring model of a single polymer and carry out parallel tempering molecular dynamics (PTMD) simulations to efficiently sample equilibrium configurations near the theta temperature Θ. Our results show that the conformational changes of our primitive model upon a decrease in temperature T reflect the characteristic features of the coil-to-globule transition observed in experiments.
We find that stable globules are formed when T is reduced sufficiently below Θ, as evidenced by a clear separation of the core and interfacial regions in the radial density profile of monomers. By explicitly evaluating the core density from the radial density profile, we importantly find that in the globular states, the core density is not influenced by the degree of polymerization, even when the degree of polymerization is varied by an order of magnitude.
These findings partly validate the Flory-theory picture of polymer globule formation, where the conformational free energy is dominated by attractive two-body and repulsive three-body energetic contributions. This indicates that the structural properties of polymer globules are governed by a balance of these two contributions. However, to further validate this picture, it is essential to explicitly estimate the excluded volume and the three-body interaction coefficient of single polymers. We leave this for further study.
This Article2025; 49(1): 97-103
Published online Jan 25, 2025
ServicesIntroduction
Experimental
Results and Discussion
Conclusions
Correspondence toDepartment of Fine Chemistry, Seoul National University of Science and Technology, Seoul 01811, Korea